В первую очередь у человека должны быть соответствующие знания: как ориентироваться на местности, где и как можно найти пищу, как найти питьевую воду, съедобные и несъедобные грибы и ягоды, как определить время по солнцу, как определить свое местоположение, как не стать жертвой хищников, как построить укрытие, как развести костер, как оказать первую медицинскую лекарственные растения и т.д. Человек должен быть физически развит, для того чтобы справиться с хищниками в случае их нападения или хотя бы убежать. Человек должен быть закален, чтобы не простыть в первый же день пребывания на природе. Он должен быть выносливым, поскольку для того, чтобы добыть пищу ему, возможно, придется проходить немалые расстояния за день. Что касается черт характера, то это - смелость, решительность, выдержка, умение держать себя в руках, оптимизм, целеустремленность, воля к победе.
В первую очередь у человека должны быть соответствующие знания: как ориентироваться на местности, где и как можно найти пищу, как найти питьевую воду, съедобные и несъедобные грибы и ягоды, как определить время по солнцу, как определить свое местоположение, как не стать жертвой хищников, как построить укрытие, как развести костер, как оказать первую медицинскую лекарственные растения и т.д. Человек должен быть физически развит, для того чтобы справиться с хищниками в случае их нападения или хотя бы убежать. Человек должен быть закален, чтобы не простыть в первый же день пребывания на природе. Он должен быть выносливым, поскольку для того, чтобы добыть пищу ему, возможно, придется проходить немалые расстояния за день. Что касается черт характера, то это - смелость, решительность, выдержка, умение держать себя в руках, оптимизм, целеустремленность, воля к победе.
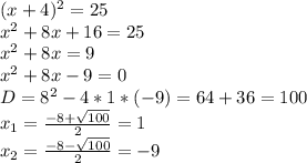
находим сумму корней:

ответ: сумма корней равна -8