М
Молодежь
К
Компьютеры-и-электроника
Д
Дом-и-сад
С
Стиль-и-уход-за-собой
П
Праздники-и-традиции
Т
Транспорт
П
Путешествия
С
Семейная-жизнь
Ф
Философия-и-религия
Б
Без категории
М
Мир-работы
Х
Хобби-и-рукоделие
И
Искусство-и-развлечения
В
Взаимоотношения
З
Здоровье
К
Кулинария-и-гостеприимство
Ф
Финансы-и-бизнес
П
Питомцы-и-животные
О
Образование
О
Образование-и-коммуникации
Мишка1911
Мишка1911
11.12.2022 17:39 •  Математика

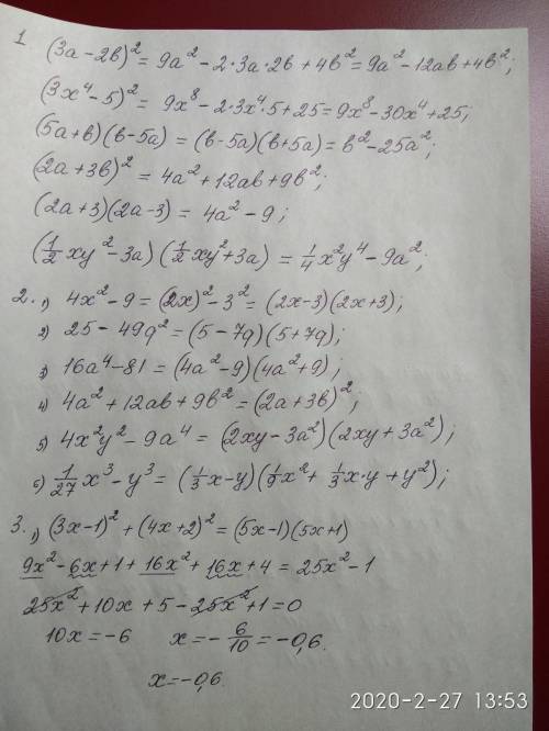
1.преобразуйте выражение
(3а-2b)²=;(3x⁴-5)²=;(5а+b)(b-5a)=;(2a+3b)²=;(2a-3)(2a+3=;(½xy²-3a)(½xy+3a)=
2.разложите на множители
4х²-9=;25-49q²=;16a⁴-81=;4a²+12ab+9b²=;4x²y²-9a⁴=;1/27x³-y³;
3.решите уравнение
(3х-1)²+(4х+2)²=(5х-1)(5х+1)=?
4.сторона первого квадрата на 2 см больше стороны второго квадрата, а площадь первого на 12см² больше площади второго. найдите периметры этих квадратов

👇
Ответ:
Gogi354
Gogi354
11.12.2022

ответ: Решение и ответы смотри в двух файлах

Пошаговое объяснение: Там и пошаговое объяснение.


1.преобразуйте выражение (3а-2b)²=;(3x⁴-5)²=;(5а+b)(b-5a)=;(2a+3b)²=;(2a-3)(2a+3=;(½xy²-3a)(½xy+3a)=
1.преобразуйте выражение (3а-2b)²=;(3x⁴-5)²=;(5а+b)(b-5a)=;(2a+3b)²=;(2a-3)(2a+3=;(½xy²-3a)(½xy+3a)=
4,5(74 оценок)
Открыть все ответы
Ответ:
dhgdfnhflk
dhgdfnhflk
11.12.2022
1. Уметь ориентироваться на местности надо для того, чтобы в любой ситуации легко определять свое местонахождение и чтобы, если потребуется, найти более короткий путь в нужном направлении. Ориентироваться на местности можно по карте, по компасу, по местным приметам (солнцу, луне, звездам, деревьям и так далее).
2. Компас,карта,мох,солнце,тень,GPS,навигатор,влажность воздуха,птицы.
3. Порядок определения сторон горизонта по компасу:

Убедитесь, что бы возле компаса не было железных изделийи и на поверхности, которой он лежит было не из железа.Положите на ровную поверхность и рассфиксируйте стрелку.Синяя стрелка всегда показывает север. Поверните С к синей стрелке.
5. Угол между часовой стрелкой и направлением на цифру 1 на циферблате часов делится пополам прямой линией, которая указывает направление на юг. До полудня надо делить пополам ту дугу (угол), которую стрелка должна пройти до 13.00, а после полудня - ту дугу, которую она после 13.00
4,4(46 оценок)
Ответ:
Какую роль играет лес в жизни человека?


Человек и природа тесно взаимосвязаны. Лес для человека оказывает большую пользу. Еще издревле лес согревал и кормил людей. И сегодня лесные ресурсы являются наиважнейшим источником топлива, производства строительных и других материалов – тканей, бумаги и т.д. В лесу растут съедобные грибы и ягоды, лекарственные травы. В лесу каждый человек может насладиться свежим воздухом, покоем и красотой, получить огромное эстетическое удовольствие.


Кроме того, леса – это зеленые легкие планеты, ведь деревья являются чемпионами по производству кислорода и очищению воздуха от углекислого газа, токсинов.

4,6(3 оценок)
Это интересно:
logo
Вход Регистрация
Что ты хочешь узнать?
Спроси Mozg
Открыть лучший ответ