М
Молодежь
К
Компьютеры-и-электроника
Д
Дом-и-сад
С
Стиль-и-уход-за-собой
П
Праздники-и-традиции
Т
Транспорт
П
Путешествия
С
Семейная-жизнь
Ф
Философия-и-религия
Б
Без категории
М
Мир-работы
Х
Хобби-и-рукоделие
И
Искусство-и-развлечения
В
Взаимоотношения
З
Здоровье
К
Кулинария-и-гостеприимство
Ф
Финансы-и-бизнес
П
Питомцы-и-животные
О
Образование
О
Образование-и-коммуникации
Ppoligoon
Ppoligoon
09.03.2021 13:03 •  Математика

Y=4+x, y=x^2 -2x
Найти площадь фигуры ограниченную кривыми, с подробным решением

👇
Ответ:
кирилл2122
кирилл2122
09.03.2021

Пошаговое объяснение:

\[\left\{\begin{gathered}y=4+x\hfill\\y={x^2}-2x\hfill\\\end{gathered}\right.\Leftrightarrow\left\{\begin{gathered}y=4+x\hfill\\4+x={x^2}-2x\hfill\\\end{gathered}\right.\Leftrightarrow\left\{\begin{gathered}y=4+x\hfill\\{x^2}-3x-4=0\hfill\\\end{gathered}\right.\Leftrightarrow\left\{\begin{gathered}{y_1}=8;\;{y_2}=3\hfill\\{x_1}=4;\;{x_2}=-1\hfill\\\end{gathered}\right.\]

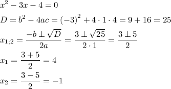
\[\begin{gathered}{x^2}-3x-4=0\hfill\\D={b^2}-4ac={\left({-3}\right)^2}+4\cdot1\cdot4=9+16=25\hfill\\{x_{1;2}}=\frac{{-b\pm\sqrt D}}{{2a}}=\frac{{3\pm\sqrt{25}}}{{2\cdot1}}=\frac{{3\pm5}}{2}\hfill\\{x_1}=\frac{{3+5}}{2}=4\hfill\\{x_2}=\frac{{3-5}}{2}=-1\hfill\\\end{gathered}\]

Парабола и прямая пересекаются в точках (4; 8) и (-1; 3)

Для того, чтобы получить площадь фигуры ограниченной линиями, необходимо вычислить определенный интеграл вида:

\displaystyle \[\int\limits_a^b {\left( {f(x) - g(x)} \right)dx} \]

где a = x₂, b = x₁

\[\begin{gathered}f(x)=4+x\hfill\\g(x)={x^2}-2x\hfill\\\end{gathered}\]

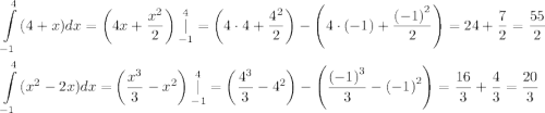
\displaystyle \[\int\limits_{-1}^4{(4+x)dx-\int\limits_{-1}^4(}{x^2}-2x)dx=\frac{{55}}{2}-\frac{{20}}{3}=\boxed{\frac{{125}}{6}}\]

\displaystyle \[\begin{gathered}\int\limits_{-1}^4{(4+x)dx=\left({4x+\frac{{{x^2}}}{2}}\right)}\mathop|\limits_{-1}^4=\left({4\cdot4+\frac{{{4^2}}}{2}}\right)-\left({4\cdot(-1)+\frac{{{{(-1)}^2}}}{2}}\right)=24+\frac{7}{2}=\frac{{55}}{2}\hfill\\\int\limits_{-1}^4{({x^2}-2x)dx=}\left({\frac{{{x^3}}}{3}-{x^2}}\right)\mathop|\limits_{-1}^4=\left({\frac{{{4^3}}}{3}-{4^2}}\right)-\left({\frac{{{{(-1)}^3}}}{3}-{{(-1)}^2}}\right)=\frac{{16}}{3}+\frac{4}{3}=\frac{{20}}{3}\hfill\\\end{gathered}\]


Y=4+x, y=x^2 -2x Найти площадь фигуры ограниченную кривыми, с подробным решением
4,7(64 оценок)
Открыть все ответы
Ответ:
DimaZnanie
DimaZnanie
09.03.2021

2

Пошаговое объяснение:

Выпишем двузначные числа, кратные 17: 17, 34, 51, 68, 85

Выпишем двузначные числа, кратные 23: 23, 46, 69, 92.

Это значит, что:

После 1 может идти только 7.

После 2 только 3.

После 3 только 4.

После 4 только 6.

После 5 только 1.

После 6 может идти 8 или 9.

После 7 ничего идти не может, это должна быть последняя цифра в ряду.

После 8 идёт 5.

После 9 идёт 2.

Теперь начнем выписывать цифры с 9.

923468517 - на этом все кончилось, 1002-ой цифры вообще нет.

Второй вариант:

9234692346...

Здесь цифры 92346 идут по кругу, повторяясь через пять цифр.

Значит, 1000-ая цифра будет 6, а 1002 будет 2.

4,7(70 оценок)
Ответ:
влщчцдыо
влщчцдыо
09.03.2021

20см

Пошаговое объяснение:

Вспомним о том, что один метр "вмещает в себя" всего 100 сантиметров.

Вычислим длину купленной красной ленты. Для этого нам следует:

1) 100 см / 5 частей * 3 части = 20 см * 3 части = 60 см - всего купили красной ленты.

Таким же образом вычислим длину зеленой ленты:

2) 100 см / 5 частей * 2 части = 20 см * 2 части = 40 см - всего купили зеленой ленты.

Дальше сравним длину красной ленты с длиной зеленой ленты, выполнив вычитание:

3) 60 см - 40 см = 20 см - на столько красная лента длиннее зеленой.

4,4(94 оценок)
Это интересно:
Новые ответы от MOGZ: Математика
logo
Вход Регистрация
Что ты хочешь узнать?
Спроси Mozg
Открыть лучший ответ