Первый пример 1)936:4 2)616:7 3)2 число которое получилось делить на 4 4)936:4 то что получилось из этого вычесть то что получилось на другой стороне Второй пример 1)в скобках 568:4 2)1000-то что получилось 568:4 3)то что получилось в скобках :6 4)340+всё что получилось Третий пример 1)в скобках 76:19 2)992:8 3)то что получилось во втором действии делить на то что получилось в первом действии 4)100- то что получилось в третьем действии. Правила Первое всегда то что в скобках Второе деление и умножение Третье вычитание и сложение
В семье из трех человек зарабатывают только двое. Папа зарабатывает 50 тыс рублей, мама 40 тыс рублей. На мясные и молочные продукты в месяц семья тратит 8тыс рублей, на овощи и фрукты-5 тыс рублей, 2 тыс на сладости, на остальные-3 тысячи рублей. Какая часть семейного бюджета тратится на продукты? 1)40000+50000=90000(р) доход семьи 2) 8000+5000=13000(р) на мясо и фрукты. 3)13000+2000=15000(р) на мясо, фрукты, сладости 4)15000+3000=18000(р) на все продукты 5)90000:18000=5 часть всех денег идет на продукты ответ: 5 часть дохода идет на продукты
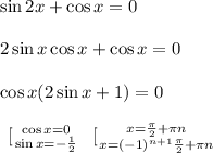
Первая серия на заданном отрезке дает единственное решение
при
. Вторая же серия на данном отрезке (с учетом того, что
) вообще не дает корней.
ОТВЕТ: