М
Молодежь
К
Компьютеры-и-электроника
Д
Дом-и-сад
С
Стиль-и-уход-за-собой
П
Праздники-и-традиции
Т
Транспорт
П
Путешествия
С
Семейная-жизнь
Ф
Философия-и-религия
Б
Без категории
М
Мир-работы
Х
Хобби-и-рукоделие
И
Искусство-и-развлечения
В
Взаимоотношения
З
Здоровье
К
Кулинария-и-гостеприимство
Ф
Финансы-и-бизнес
П
Питомцы-и-животные
О
Образование
О
Образование-и-коммуникации
lemon234
lemon234
11.01.2020 17:52 •  Математика

1)32x^3-500
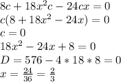
2)12a^3-48a
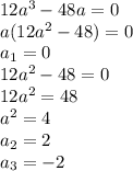
3)8c+18x^2c-24cx​

👇
Ответ:
xezi1
xezi1
11.01.2020

Пошаговое объяснение:

32x^3-500=0\\32x^3=500\\x^3=\frac{500}{32} =\frac{125}{8} \\x=\frac{5}{2} =2.5

12a^3-48a=0\\a(12a^2-48)=0\\a_1=0\\12a^2-48=0\\12a^2=48\\a^2=4\\a_2=2\\a_3=-2

ответ:a1=0;a2=2;a3=-2

8c+18x^2c-24cx=0\\c(8+18x^2-24x)=0\\c=0\\18x^2-24x+8=0\\D=576-4*18*8=0\\x=\frac{24}{36} =\frac{2}{3}

ответ:c=0 x=2/3

4,4(83 оценок)
Открыть все ответы
Ответ:
fagev
fagev
11.01.2020

ответ:Дана правильная четырехугольная призма ABCDA₁B₁C₁D₁, тогда AB = BC = CD = AD = A₁B₁ = B₁C₁ = C₁D₁ = A₁D₁ = a и AA₁ = BB₁ = CC₁ = DD₁.

1. Найдем диагональ основания из прямоугольного △ACD по теореме Пифагора:

AC = √(AD² + CD²) = √(a² + a²) = √(2 * a²) = a√2.

Рассмотрим △C₁CA:

∠AC₁C = 180° - ∠C₁CA - ∠C₁AC (по теореме о сумме углов треугольника);

∠AC₁C = 180° - 45° - 90° = 45° ⇒ △C₁CA равнобедренный: AC = C₁C = a√2.

По теореме Пифагора:

AC₁ = √(AC² + C₁C²) = √((a√2)² + (a√2)²) = √(2 * a² + 2 * a²) = √(4 * a²) = 2 * a.

1. Все боковые грани призмы являются равными прямоугольниками. Найдем площадь AA₁D₁D:

S = AD * A₁A = a * a√2 = a²√2.

Площадь боковой поверхности равна:

Sбок. = 4 * S = 4 * a²√2.

1. Синус угла в прямоугольном треугольнике равен отношению противолежащего катета к гипотенузе. В △ADC₁:

sin∠AC₁D = AD/AC₁ = a/2 * a = 1/2.

1/2 является синусом угла, равного 30° ⇒ ∠AC₁D = 30°.

ответ: 1) AC₁ = 2 * a; 2) Sбок. = 4 * a²√2; 3) ∠AC₁D = 30°.

4,7(69 оценок)
Ответ:

1. 9 : 25

9 на 25 не делится, пишем в частном 0 целых (0,),

к девяти приписываем нуль: 90

90 делим на 25, в частном берем по 3 (0,3)

отнимаем от 90 75, остаток 15

Приписываем нуль.

150 делим на 25, берем по 6 (0,36)

отнимаем от 150 150, остаток нуль.

2. При делении 36 на 1930 получается бесконечная дробь, поэтому разделим 36 на 1024:

36 на 1024 не делится, в частном 0,

приписываем нуль, 360 на 1024 не делится, в частном нуль (0,0)

приписываем нуль, 3600 на 1024 делится, берем по 3, (0,03)

отнимаем от 3600 3072, остаток 528,

приписываем нуль и т.д.

3. 0,0581 : 7

Целая часть (нуль) на 7 не делится, пишем в частном нуль целых (0,)

две первые цифры (два  нуля) числа на 7 не делятся, пишем в частном нуль (0,0)

005 на 7 не делится, пишем в частном нуль (0,00)

58 на 7 делится, берем по 8 (0,008), дальше все как обычно

Пошаговое объяснение:

4,8(97 оценок)
Новые ответы от MOGZ: Математика
logo
Вход Регистрация
Что ты хочешь узнать?
Спроси Mozg
Открыть лучший ответ