Добрый день! Конечно, я помогу вам с решением задачи.
1. Чтобы найти общий вид первообразной функции f(x) = 3x - 8x, мы должны воспользоваться правилом интегрирования для суммы и разности функций. В данном случае, мы получаем первообразную функцию F(x), которая будет равна сумме первообразной для 3x и первообразной для -8x. Производная от первой функции равна 3, а производная от второй функции равна -8, поэтому первообразные будут следующими:
∫3x dx = (3/2)x^2 + C1
∫(-8x) dx = (-8/2)x^2 + C2
Здесь C1 и C2 - произвольные константы. Теперь мы можем записать общий вид первообразной функции f(x):
F(x) = (3/2)x^2 + C1 - (8/2)x^2 + C2
Мы можем объединить константы C1 и C2 в одну константу С, получив окончательный ответ:
F(x) = (3/2)x^2 - (8/2)x^2 + C
2. Для того чтобы найти первообразную функцию, график которой проходит через начало координат (0,0), нам требуется решить следующее уравнение:
F(0) = 0
Подставив это в наше предыдущее уравнение, мы получаем:
(3/2)(0)^2 - (8/2)(0)^2 + C = 0
0 - 0 + C = 0
C = 0
Теперь мы можем вставить эту константу в общий вид первообразной функции:
1)
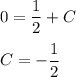
2) Загальний вигляд первісної
і ця первісна проходить через точку (0;0), тобто, підставимо координати точки в загальний вигляд первісної
Відповідь: