М
Молодежь
К
Компьютеры-и-электроника
Д
Дом-и-сад
С
Стиль-и-уход-за-собой
П
Праздники-и-традиции
Т
Транспорт
П
Путешествия
С
Семейная-жизнь
Ф
Философия-и-религия
Б
Без категории
М
Мир-работы
Х
Хобби-и-рукоделие
И
Искусство-и-развлечения
В
Взаимоотношения
З
Здоровье
К
Кулинария-и-гостеприимство
Ф
Финансы-и-бизнес
П
Питомцы-и-животные
О
Образование
О
Образование-и-коммуникации
Jamik1008
Jamik1008
28.07.2021 05:42 •  Математика

У выражение и найдите его значение при а = - 0,5 ​

👇
Ответ:
taidakv
taidakv
28.07.2021

2

Пошаговое объяснение:

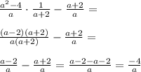
(a^2 - 4) / a * 1 / (a + 2) - (a + 2) / a =

* раскрываем формулу разности квадратов в первой дроби

= (a - 2) * (a + 2) / a * 1 / (a + 2) - (a + 2) / a =

* сокращаем (a + 2) в числителе и знаменателе и производим умножение

= (a - 2) / a - (a + 2) / a = (a - 2 - a - 2) / a = (- 2*a - 2) / a

Если а = - 0,5, тогда

(- 2 * (-0,5) - 2) / (-0,5) = (1 - 2) / (-0,5) = -1 / -0,5 = 2

4,8(86 оценок)
Ответ:
Kolla77
Kolla77
28.07.2021

Упрощаем выражение:

\frac{a^2-4}{a}\cdot \frac{1}{a+2}-\frac{a+2}{a}= \\\\\frac{(a-2)(a+2)}{a(a+2)}-\frac{a+2}{a}= \\ \\\frac{a-2}{a}-\frac{a+2}{a}= \frac{a-2-a-2}{a}=\frac{-4}{a}

При a = −0,5:

\frac{-4}{a} = \frac{-4}{-0,5}=\frac{40}{5}=8

или

-4:(-\frac{1}{2} )=-\frac{4}{1} \cdot (-\frac{2}{1}) = 4\cdot 2=8

4,8(64 оценок)
Открыть все ответы
Ответ:
vladbochilo
vladbochilo
28.07.2021
1.запишите десятичные дроби, составленные из цифр 4,6,0,3, удовлетворяющих следующим условиям. цифры в записи чисел не повторяются.0,346; 3,046, 3,064 и т.д. 24 числавыполните .1) найдите сумму наименьшей десятичной дроби больше 60 и наименьшей десятичной дроби больше 30. - не корректное   проверь наименьшей десятичной дроби больше 60          60,  2) найдите разность наибольшей десятичной дроби меньше 4-х и наименьшей десятичной дроби больше 3. 3) запишите в виде суммы разрядных слагаемых наибольшую десятичную дробь меньше 1 и наименьшую десятичную дробь, которая больше 1.2 .запишите несколько десятичных дробей, при которых верны неравенства.1) 2,3< а< 2,42,3< 2,31< 2,42,3< 2,32< 2,42,3< 2,31111< 2,4                2) в< 2,01< а2,001< 2,01< 3,051,56< 2,01< 3,3331,66< 2,01< 4444,8893) в< 9,99< а9,1< 9,99< 10,9998,8999< 9,99< 100,991,03< 9,99< 500,0053 .найдите разность чисел двенадцати целых шести сотых и 10 е 4 de 5 ce. не поняла4 .при каких значениях а и b разность b-a принимает наименьшее значение, если a/b=0,88 (/-дробная черта)если a/b = 0,88, то а = 0,88 * bb - a = b - 0,88 * b = 0,12*b
4,4(65 оценок)
Ответ:
Montyzzzz
Montyzzzz
28.07.2021
РЕШЕНИЕ
в ОБЩЕМ виде.
А = 1 м = 10 см - сторона квадрата
b = 10 см -  длина палочки.
Находим число палочек
n = A : b = 100 :10 = 10 шт на ряд (сторону.
На рамку потребуется
Р = 4*n = 40 шт.
На перегородки потребуется - на один ряд меньше -  n-1 = 9
Перегородки и вертикальные и горизонтальные - умножаем на 2.
Всего на перегородки
K = 2*(n-1)*n = 180
Всего на фигуру = N = 40 + 180 = 220 шт - по 10 см - ОТВЕТ 1а
Для длины палочки b =  5 см получаем
n = 100 : 5 = 20 шт в ряд
P = 4*n = 80 шт
K = 2*19*20 = 760 шт
N = 80 + 760 = 840 шт по 5 см -  ОТВЕТ 1б
Задача 2.
Пишем уравнение
4*n + 2*n*(n-1) = 1300
Упрощаем
4*n + 2*n² - 2n = 1300
Упрощаем
n² + n - 650 = 0
Решаем квадратное уравнение
Дискриминант - D =2601 и √D = 51 и 
корни - n1 = 25 и 
n2 = - 26 - не подходит -  отрицательное.
Число палочек в ряду -  n = 25
Длина одной палочки
b = A : n = 100 : 25 = 4 см - ОТВЕТ 2.
4,8(31 оценок)
Это интересно:
Новые ответы от MOGZ: Математика
Полный доступ к MOGZ
Живи умнее Безлимитный доступ к MOGZ Оформи подписку
logo
Вход Регистрация
Что ты хочешь узнать?
Спроси Mozg
Открыть лучший ответ