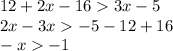
Решение на фото↓
Дай угадаю это Соч за 3 четверть 6 класс
Даю 100% что это правильно
Сама решила и получила 20/
Смотри на фото там когда я дошла до -1х>-1
Можешь не чертить стрелки вниз
Это я нарисовала чтобы ты понял(-а)
Пользуйся на здоровье!))
Удачии




Пошаговое объяснение:
Уравнение имеет вид