М
Молодежь
К
Компьютеры-и-электроника
Д
Дом-и-сад
С
Стиль-и-уход-за-собой
П
Праздники-и-традиции
Т
Транспорт
П
Путешествия
С
Семейная-жизнь
Ф
Философия-и-религия
Б
Без категории
М
Мир-работы
Х
Хобби-и-рукоделие
И
Искусство-и-развлечения
В
Взаимоотношения
З
Здоровье
К
Кулинария-и-гостеприимство
Ф
Финансы-и-бизнес
П
Питомцы-и-животные
О
Образование
О
Образование-и-коммуникации
тупойуголь
тупойуголь
25.03.2020 20:26 •  Математика

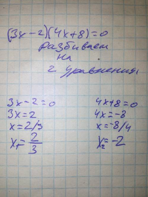
Как это сделать? Напишите объяснение ) и ответ.​

👇
Ответ:
Smokes
Smokes
25.03.2020

1) 5 * 5 = 25 (см в кв)

− площадь поверхности одного кубика;

2) 6 * 2 + 6 * 2 + 4 * 2 = 12 + 12 + 8 = 24 + 8 = 32 (поверхности) − всех кубиков покрасили;

3) 25 * 32 = 800 (см в кв)-s

− площадь покрашенной части параллелепипеда.

ответ: 800см в кв

4,6(68 оценок)
Ответ:
anastasiya249
anastasiya249
25.03.2020

Я все показал на фото!


Как это сделать? Напишите объяснение ) и ответ.​
Как это сделать? Напишите объяснение ) и ответ.​
4,5(55 оценок)
Открыть все ответы
Ответ:
vlasov200133
vlasov200133
25.03.2020
5 7/18-4 23/30 = 97/18 −143/30  = 5 · 97/5 · 18−3 · 143/3 · 30=485/90−429/90=485 − 429/90=56/90=
=28 · 2/45 · 2=28/45
1,12 *1 1/9 =1 12/10*1 1/9 = 22/10÷10/9=22/10·9/10=22 · 9/10 · 10 =  =198/100=99 · 2/50 · 2=99/50=1  49/50
5 1/2-3,25= 5 · 11/5 · 2−1 · 55/1 · 10=55/10−55/10=55 − 55/10=0/10=0
0,8*0=0
3,2+0=3,2

28/45 : 1 49/50=х : 3,2
28/45 :99/50=28/45·50/99=28 · 50/45 · 99=1400/4455=  280 · 5/891 · 5=  = 280/891
280/891=х :3,2
х=280/891*3 2/10
х=1 5/891
ответ: (5 7/18-4 23/30):(1,12 *1 1/9)=1 5/891:(3,2 + 0,8*(5 1/2-3,25))
4,6(5 оценок)
Ответ:
shitovilya
shitovilya
25.03.2020
54у - 36у - 9 = 153                      (15u - 21) * 3 + 27 = 234
18у = 153 + 9                              (15u - 21) * 3 = 234 - 27 
18у = 162                                     (15u - 21) * 3 = 207
у = 162 : 18                                  15u - 21 = 207 : 3
у = 9                                              15u - 21 = 69
                                                      15u = 69 + 21
                                                       15u = 90
                                                        u = 90 : 15
                                                        u = 6

(36t + 98) : 14 = 25                     (12u + 30u + 42) : 6 = 21
36t + 98 = 25 * 14                       42u + 42 = 21 * 6 
36t + 98 = 350                             42u + 42 = 126
36t = 350 - 98                              42u = 126 - 42
36t = 252                                      42u = 84
t = 252 : 36                                   u = 84 : 42
t = 7                                              u = 2
4,5(93 оценок)
Это интересно:
Новые ответы от MOGZ: Математика
logo
Вход Регистрация
Что ты хочешь узнать?
Спроси Mozg
Открыть лучший ответ