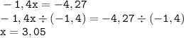
-1,4x=-4,27
-1,4x:(-1,4)=(-4,27):(-1,4)
x=3,05
y:3,1=-6,2
y:31/10=-6,2
y×10/31=-6,2
10/31y=-6,2
y=31/10×(-6,2)
y=31/10×(-31/5)
y=-961/50=19,22
Например, могут быть такие варианты:
среди множества стульев, табуреток и кресел множество диванов - пустое
среди множества красных и желтых карандашей множество синих фломастеров - пустое
среди множества овощей и фруктов множество мясных колбас и сосисок - пустое
среди множества всех видов напильников множество танцующих балет напильников - пустое.
среди множества всех видов напильников множество танцующих балет напильников - пустое
среди множества синих треугольников и розовых квадратов множество фиолетовых призм - пустое
среди множества четных чисел множество нечетных чисел - пустое
среди множества однозначных и двузначных чисел множество семизначных чисел - пустое
среди множества значений действительных чисел Х в квадрате множество отрицательных чисел - пустое
множество простых делителей числа 1 - пустое
множество всех действительных корней уравнения х^2 + 1 = 0 - пустое (равно как и например множество действительных решений уравнения х^2 + 4 = 0 )
множество действительных корней уравнения х^2 = -9
множество решений неравенства х^2 < -16
множество прямых углов в равностороннем треугольнике - множества.
Пошаговое объяснение:
их можно сгруппировать как по соотношению сторон:
-равнобедренный( треугольник у которого равны только 2 стороны)
-разностороний( треугольник у которого нет сторон с одинаковой длиной)
-равностороний(треугольник у которого все стороны равны)
Так же можно сгруппировать их по видам углов:
-острый( треугольник в котором все углы острые, то есть меньше 90°)
-прямой (треугольник в котором есть хоть один угол равный 90°)
-тупой ( треугольник в котором есть хоть один тупой угол, то есть угол больше 90°)

б)