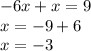
х=-3
Пошаговое объяснение:

задача 1..Пусть Х- расстояние между сёлами
Х/60 - км/ч скорость пешехода, Х/20 км/ч - скорость велосипедиста
1) Х/60 + Х/20 = 4Х/60 = Х/15 км/ч -скорость сближения
2) Х : Х/15 = Х*15/Х = 15 мин
ответ: через 15 минут они встретятся
задача 2..1/24 работы/час - производительность первого печника
1/16 -1/24=1/48 работы/час - производительность второго печника
1:1/48 = 48(часов) - должен работать второй печник,чтобы сложить печь.
задача 3..Так как средний медведь съедает торт за 3 дня, то за 1 день он съедает 1/3 торта.
•Так как младший медведь съедает торт за 6 дней, то за 1 день она съедает 1/6 торта.
•Вместе все три медведя за 1 день съедят 1/2+1/3+1/6=1, то есть один торт.
ответ. За 1 день.
Пошаговое объяснение:
задача 1..Пусть Х- расстояние между сёлами
Х/60 - км/ч скорость пешехода, Х/20 км/ч - скорость велосипедиста
1) Х/60 + Х/20 = 4Х/60 = Х/15 км/ч -скорость сближения
2) Х : Х/15 = Х*15/Х = 15 мин
ответ: через 15 минут они встретятся
задача 2..1/24 работы/час - производительность первого печника
1/16 -1/24=1/48 работы/час - производительность второго печника
1:1/48 = 48(часов) - должен работать второй печник,чтобы сложить печь.
задача 3..Так как средний медведь съедает торт за 3 дня, то за 1 день он съедает 1/3 торта.
•Так как младший медведь съедает торт за 6 дней, то за 1 день она съедает 1/6 торта.
•Вместе все три медведя за 1 день съедят 1/2+1/3+1/6=1, то есть один торт.
ответ. За 1 день.
Пошаговое объяснение:
ответ: -3
Пошаговое объяснение: -9 - (-6) = X
-9+6 = X
-9+6 = -3