М
Молодежь
К
Компьютеры-и-электроника
Д
Дом-и-сад
С
Стиль-и-уход-за-собой
П
Праздники-и-традиции
Т
Транспорт
П
Путешествия
С
Семейная-жизнь
Ф
Философия-и-религия
Б
Без категории
М
Мир-работы
Х
Хобби-и-рукоделие
И
Искусство-и-развлечения
В
Взаимоотношения
З
Здоровье
К
Кулинария-и-гостеприимство
Ф
Финансы-и-бизнес
П
Питомцы-и-животные
О
Образование
О
Образование-и-коммуникации
Настя456598
Настя456598
29.02.2020 19:46 •  Математика

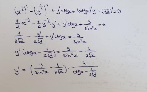
Нужно найти производную неявно заданной функции

👇
Ответ:

решение на фотографии


Нужно найти производную неявно заданной функции
4,5(66 оценок)
Открыть все ответы
Ответ:
vetoss2
vetoss2
29.02.2020
Пусть х- стоимость тетради, то 5х- стоимость книги, по условию  1)5х-х=80, то 4х=80, х=20 (р) стоит тетрадь   2) 20*5=100(р) стоит книга  3) 20*3=60(р) стоят три тетради    4) 100*2=200(р) стоят две книги   5) 60+200=260(р) стоит вся покупка
 ответ 260 р стоят три тетради и две книги вместе  

в пять раз больше, это значит, что на стоимость книги приходится- 1 часть денег, а на стоимость книг- 5 частей.
1)5-1=4(ч) разница в частях стоимости
2)80:4=20(р) приходится на одну часть, значит стоит 1 тетрадь
3)20*5=100(р) стоит книга
4)20*3=60(р) стоит 3 тетради
5)100*2=200(р) стоит 2 книги
6) 60+200=260(р) ответ 260 руб стоят 3 тетради и две книги вместе
4,5(42 оценок)
Ответ:
Artobotik
Artobotik
29.02.2020
Пусть х- стоимость тетради, то 5х- стоимость книги, по условию  1)5х-х=80, то 4х=80, х=20 (р) стоит тетрадь   2) 20*5=100(р) стоит книга  3) 20*3=60(р) стоят три тетради    4) 100*2=200(р) стоят две книги   5) 60+200=260(р) стоит вся покупка
 ответ 260 р стоят три тетради и две книги вместе  

в пять раз больше, это значит, что на стоимость книги приходится- 1 часть денег, а на стоимость книг- 5 частей.
1)5-1=4(ч) разница в частях стоимости
2)80:4=20(р) приходится на одну часть, значит стоит 1 тетрадь
3)20*5=100(р) стоит книга
4)20*3=60(р) стоит 3 тетради
5)100*2=200(р) стоит 2 книги
6) 60+200=260(р) ответ 260 руб стоят 3 тетради и две книги вместе
4,7(5 оценок)
Это интересно:
Новые ответы от MOGZ: Математика
logo
Вход Регистрация
Что ты хочешь узнать?
Спроси Mozg
Открыть лучший ответ