М
Молодежь
К
Компьютеры-и-электроника
Д
Дом-и-сад
С
Стиль-и-уход-за-собой
П
Праздники-и-традиции
Т
Транспорт
П
Путешествия
С
Семейная-жизнь
Ф
Философия-и-религия
Б
Без категории
М
Мир-работы
Х
Хобби-и-рукоделие
И
Искусство-и-развлечения
В
Взаимоотношения
З
Здоровье
К
Кулинария-и-гостеприимство
Ф
Финансы-и-бизнес
П
Питомцы-и-животные
О
Образование
О
Образование-и-коммуникации
Matthew0500
Matthew0500
17.07.2021 07:25 •  Математика

Номер решить, желательно с объяснением.

👇
Ответ:

Пошаговое объяснение:


Номер решить, желательно с объяснением.
4,6(70 оценок)
Ответ:
taty30
taty30
17.07.2021

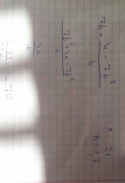
-70

Пошаговое объяснение:

изначально складываю многочлены. привожу подобные. подчтавляю значения


Номер решить, желательно с объяснением.
4,7(40 оценок)
Открыть все ответы
Ответ:
lalalypsik
lalalypsik
17.07.2021

Сколько копеек в 2/5 рубля?

100 коп.:5*2 = 40 коп.

Сколько копеек в 7/10 рубля?

100 коп : 10*7 = 70 коп.

Сколько сантиметров в 3/10 метра?

100 см :10 * 3 = 30 см

Сколько сантиметров в 3/20 метра?

100 см : 20 *3 = 15 см

Сколько сантиметров в 4 метрах?

100 см *4 = 400 см

Сколько месяцев в 3/4 года?

12 мес : 4 * 3 = 9 мес.

Сколько месяцев в 5/6 года?

12 мес. :6 * 5 = 10 мес.

Сколько копеек составляет половину рубля ?

100 руб :2 = 50 коп.

Сколько сантиметров в четверти метра?

100 см :4 = 25 см

Сколько месяцев в трети года?

12 мес. : 3 + 4 мес.

Привести к знаменателю 12 и расставить их в порядке возрастания: 5/6, 1/3, 10/24, 3/36, 1/2.

5/6 = 10/12, 1/3 = 4/12, 10/24=5/12, 3/36=1/12, 1/2=6/12

В порядке возрастания: 1/12, 4/12, 5/12, 6/12, 10/12

 

 

 

 

 

 

 

 

4,8(11 оценок)
Ответ:
Helryuwi12
Helryuwi12
17.07.2021
1) 3*(2x+1)>5*(-1)                                                                                         6x+3>(-5)                                                                                                       6x>(-5)-3                                                                                                       6x>(-8)                                                                                                              x>(-8):6                                                                                                                x>(- 4/3)                                                                                                       x>(-1 1/3).
4,4(83 оценок)
Это интересно:
Новые ответы от MOGZ: Математика
logo
Вход Регистрация
Что ты хочешь узнать?
Спроси Mozg
Открыть лучший ответ