М
Молодежь
К
Компьютеры-и-электроника
Д
Дом-и-сад
С
Стиль-и-уход-за-собой
П
Праздники-и-традиции
Т
Транспорт
П
Путешествия
С
Семейная-жизнь
Ф
Философия-и-религия
Б
Без категории
М
Мир-работы
Х
Хобби-и-рукоделие
И
Искусство-и-развлечения
В
Взаимоотношения
З
Здоровье
К
Кулинария-и-гостеприимство
Ф
Финансы-и-бизнес
П
Питомцы-и-животные
О
Образование
О
Образование-и-коммуникации
pavlovaanastasia30
pavlovaanastasia30
29.08.2022 22:48 •  Математика

Решите квадратные уравнения неполным

👇
Ответ:
ssshhh1
ssshhh1
29.08.2022

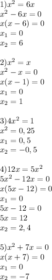
1) x^2=6x\\x^2-6x=0\\x(x-6)=0\\x_1=0\\x_2=6\\\\2)x^2=x\\x^2-x=0\\x(x-1)=0\\x_1=0\\x_2=1\\\\3) 4x^2=1\\x^2=0,25\\x_1=0,5\\x_2=-0,5\\\\4) 12x=5x^2\\5x^2-12x=0\\x(5x-12)=0\\x_1=0\\5x-12=0\\5x=12\\x_2=2,4\\\\5)x^2+7x=0\\x(x+7)=0\\x_1=0\\x_2=-7

4,8(38 оценок)
Ответ:

Пошаговое объяснение:

х²-6х=0.

х(х-6)=0.

х₁=0.

х-6=0.

х₂=6.

х²-х=0.

х(х-1)=0

х₁=0.

х-1=0.

х₂=1.

4х²=1.

х²=1/4.

х₁₂=±√1/4=±1/2=±0,5.

5х²-12х=0.

х(5х-12)=0.

х₁=0.

5х-12=0.

х₂=12/5=2,4.

х²+7х=0.

х(х+7)=0.

х₁=0.

х₂= - 7.

4,4(14 оценок)
Открыть все ответы
Ответ:
tolstuhen
tolstuhen
29.08.2022
Ушиб-В первую очередь, необходимо обездвижить пораженный участок тела, по возможности, создать покой. Если вы растянули связки, необходимо выполнить тугое бинтование. Например, при ушибе ноги, что делать в первую очередь, так это приложить что-то холодное (например, бутылку с ледяной водой). Холод сосудам сузиться, тем самым уменьшив возможное кровотечение, вызванное ушибом. Дальше, после 1-2 суток, наоборот, нужно прикладывать что-то теплое – ускоряя кровообращение. 
Потертость-При появлении признаков П. нужно прежде всего устранить механическое воздействие на кожу, которое является ее причиной. Если это невозможно, например в условиях туристического похода, следует обмыть участок потертости водой,желательно обработать раствором марганцовокислого калия (намин можно задубить одеколоном или водкой) и защитить бактерицидным пластырем, который не следует наклеивать на поврежденную кожу. В тех случаях, когда может быть оказана полноценная делают теплую ванночку со слабым (розовым) раствором марганцовокислого калия или 2% раствором борной кислоты. После этого тщательно просушивают (промокают) кожу марлевой салфеткой или полотенцем, присыпают ее тальком, окисью цинка, детской присыпкой, жирной пудрой или смазывают детским кремом. Затем накладывают сухую стерильную повязку (лучше использовать марлевый бинт или сделать тонкую накладку на поврежденный участок кожи из марли,укрепив ее лейкопластырем). Образовавшиеся пузыри стараются не повреждать, а обрабатывают раствором метиленового синего или бриллиантового зеленого (зеленкой). Если пузырь все же прорвался и имеется мокнущая поверхность, то ее обрабатывают раствором антисептического средства, после чего накладывают стерильную повязку или бактерицидный пластырь. При обширных пузырях и появлении признаков нагноения необходимо обратиться к врачу.
4,5(63 оценок)
Ответ:
Емаилком002
Емаилком002
29.08.2022
1) Машины двигались 2 часа, т.к. 10ч-8ч=2ч
2)Второй грузовик проехал S=Vt=50км/ч*2ч=100км
3)В условии не указано, на 4 км больше или меньше проехал грузовик, поэтому рассмотрим два случая
3.1) Если второй грузовик проехал 100 км, а первый на 4 км меньше, то он проехал 100км-4км=96км
3.2)Если первый проехал на 4 км больше, то он проехал 100км+4км=104км
4)Средняя скорость первого грузовика вычисляется по формуле V=S/t
В первом случае скорость грузовика будет 96км/2ч=48 км/ч
Во втором случае скорость грузовика будет 104км/2ч=52 км/ч
4,7(70 оценок)
Новые ответы от MOGZ: Математика
logo
Вход Регистрация
Что ты хочешь узнать?
Спроси Mozg
Открыть лучший ответ