М
Молодежь
К
Компьютеры-и-электроника
Д
Дом-и-сад
С
Стиль-и-уход-за-собой
П
Праздники-и-традиции
Т
Транспорт
П
Путешествия
С
Семейная-жизнь
Ф
Философия-и-религия
Б
Без категории
М
Мир-работы
Х
Хобби-и-рукоделие
И
Искусство-и-развлечения
В
Взаимоотношения
З
Здоровье
К
Кулинария-и-гостеприимство
Ф
Финансы-и-бизнес
П
Питомцы-и-животные
О
Образование
О
Образование-и-коммуникации
ŤằтьЯℌa2005
ŤằтьЯℌa2005
03.03.2022 11:40 •  Математика

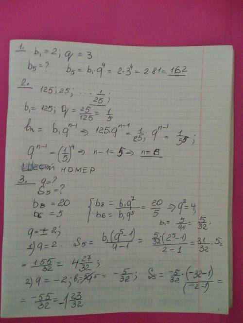
с геометрической прогрессией

👇
Ответ:
vikap754p08qzb
vikap754p08qzb
03.03.2022

решение смотрите во вложении


с геометрической прогрессией
4,7(9 оценок)
Открыть все ответы
Ответ:
olyakirnay
olyakirnay
03.03.2022
А) 2/5 и 5/12 = 8/60 и 25/60Б) 5/12 и 7/8 = 10/24 и 21/24В) 6/17 и 11/34 = 204/578 и 187/578Г) 5/16 и 5/12 = 15/48 и 20/48Д) 7/33 и 3/77 = 48/231 и 9/231Е) 5/22 и 2/55 = 25/110 и 4/110Ж) 4/15 и 3/20 = 16/60 и 9/60З) 5/121 и 8/99 = 40/1089 и 88/1089И) 1/72 и 1/56 = 7/504 и 9/504К) 1/48 и 1/72 = 3/144 и 2/144Л) 2/77и 3/44 = 8/308 и 21/308М) 1/51 и 1/68 = 4/204 и 3/204Н) 5/36 и 7/54 = 15/108 и 14/108О) 9/35 и 11/45 = 81/315 и 77/315П) 4/49 и 5/63 = 36/441 и 35/441Р) 15/98  и 13/72 = 540/3528 и 637/3528 вот чтото типо того)
4,5(4 оценок)
Ответ:
Artem12309
Artem12309
03.03.2022
Основными причинами возникновения лесных пожаров являются: неосторожное обращение с огнем в лесу и несоблюдение работающими в лесу лесозаготовительными организациями, в особенности при огневой очистке лесосек, Правил пожарной безопасности; искры, вылетающие из незащищенных дымовых труб паровозов, или шлак, выброшенный из паровозной топки на полотно железной дороги, проходящей через лес, очень часто приводят также к возникновению лесных пожаров; несоблюдение мер предосторожности колхозниками при проведении сельскохозяйственных палов на полях колхозов вблизи лесных насаждений. Лесные и сельскохозяйственные рабочие, пастухи, охотники, рыболовы, сборщики ягод и грибов часто разводят в лесу костры и, оставляя их непотушенными, уходят, бросают непогашенные спички и окурки, в результате чего возникают лесные пожары; наконец, в редких случаях имеют место умышленные поджоги леса и пожары, возникшие от молний.
4,6(49 оценок)
Это интересно:
Новые ответы от MOGZ: Математика
logo
Вход Регистрация
Что ты хочешь узнать?
Спроси Mozg
Открыть лучший ответ