М
Молодежь
К
Компьютеры-и-электроника
Д
Дом-и-сад
С
Стиль-и-уход-за-собой
П
Праздники-и-традиции
Т
Транспорт
П
Путешествия
С
Семейная-жизнь
Ф
Философия-и-религия
Б
Без категории
М
Мир-работы
Х
Хобби-и-рукоделие
И
Искусство-и-развлечения
В
Взаимоотношения
З
Здоровье
К
Кулинария-и-гостеприимство
Ф
Финансы-и-бизнес
П
Питомцы-и-животные
О
Образование
О
Образование-и-коммуникации
Училка2281337
Училка2281337
17.01.2020 19:09 •  Математика

(7,2+x+9,06):3=8,01 до ть будь ласка

👇
Ответ:
boltushkin01
boltushkin01
17.01.2020

Пошаговое объяснение:

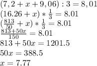
(7,2+x+9,06):3=8,01\\(16.26+x)*\frac{1}{3} =8.01\\(\frac{813}{50} +x)*\frac{1}{3} =8.01\\\frac{813+50x}{150} =8.01\\813+50x=1201.5\\50x=388.5\\x=7.77

4,7(9 оценок)
Открыть все ответы
Ответ:
kredy44belkabelka44
kredy44belkabelka44
17.01.2020
Как только появится первое весеннее солнышко и осядут снега, на лесных полянах и вдоль ручьев расцветают подснежники. Это необычайно нежные растения с небольшой головкой-колокольчиком, невысоким стеблем и длинными узкими зелеными листьями.
Подснежники бывают не только белого, но и фиолетового, и бледно-желтого цвета.
Корень подснежника — маленькая луковичка — своеобразная кладовая питательных веществ, которую растение пополняет за весну и лето.
Слабость и хрупкость цветка, каким он Может показаться на первый взгляд, обманчивы. Не зря подснежник первым появляется среди снегов — он может выдержать даже десятиградусный мороз. Аромат подснежника очень тонкий и легкий, но совсем не из-за аромата люди срывают эти цветы и составляют из них маленькие букетики. Подснежник — символ весны, и каждому хочется подержать его в ладонях, подарить другу. Однако сорванные подснежники быстро вянут, поскольку холод им более привычен, чем тепло комнаты.
4,4(42 оценок)
Ответ:
eDin7
eDin7
17.01.2020
Х- 40%го р-ра; 0,4х-кислоты в нём
у- 60%го р-ра; 0,6у -кислоты внём
х+у+5 полученного 20%го р-ра; 0,2(х+у+5)=0,2х+0,2у+1 кислоты в нём
составим 1е уравнение: 0,4х+0,6у=0,2х+0,2у+1
преобразуем его: 0,2х+0,4у=1; или 2х+4у=10; или х+2у=5
0,8*5=4 кг кислоты в 5кг 80%го р-ра
х+у+5 полученного 80%го р-ра; 0,7(х+у+5)=0,7х+0,7у+3,5 кислоты в нём
составим 2е уравнение: 0,7х+0,7у+3,5=0,4х+0,6у+4
преобразуем его: 0,3х+0,1у=0,5 ; или 3х+у=5
получаем систему:
{х+2у=5       
{3х+у=5
отсюда у=5-3х
подставим х+2(5-3х)=5
решаем х+10-6х=5
5=5х
х=1 кг 40%го р-ра
у=5-3*1=2 кг 60%го р-ра
4,7(86 оценок)
Новые ответы от MOGZ: Математика
logo
Вход Регистрация
Что ты хочешь узнать?
Спроси Mozg
Открыть лучший ответ