М
Молодежь
К
Компьютеры-и-электроника
Д
Дом-и-сад
С
Стиль-и-уход-за-собой
П
Праздники-и-традиции
Т
Транспорт
П
Путешествия
С
Семейная-жизнь
Ф
Философия-и-религия
Б
Без категории
М
Мир-работы
Х
Хобби-и-рукоделие
И
Искусство-и-развлечения
В
Взаимоотношения
З
Здоровье
К
Кулинария-и-гостеприимство
Ф
Финансы-и-бизнес
П
Питомцы-и-животные
О
Образование
О
Образование-и-коммуникации
катя30012005
катя30012005
07.11.2021 19:01 •  Математика

нужны решения

Отмечу лучшим если будет правильно

👇
Ответ:
Leyla1313
Leyla1313
07.11.2021

уравнение касательной это у=kx+b

берем производную к графику, y'=3x^2-p, подставляем точку 2

получаем y'(2)=12-p это число называется тангенсом угла наклона касательной в точке х=2, и равно k из уравнения касательной,

получается уравнение касательной принимает вид y=(12-p)x+b

эта касательная проходит через две точки.. первая это точка М, а вторая - (2, у(2)).

y(2)=8-2p

составляем систему, подставляя обе эти точки в уравнение касательной

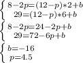
\left \{ {{8-2p=(12-p)*2+b} \atop {29=(12-p)*6+b}} \right. \\\left \{ {{8-2p=24-2p+b} \atop {29=72-6p+b}} \right. \\\left \{ {{b=-16} \atop {p=4.5}} \right.

получаем ответ 9/2

4,7(84 оценок)
Открыть все ответы
Ответ:
jul45
jul45
07.11.2021

Может быть в скобках умножение?

Первый

160 : (4 × 10) = 160 : 40 = 4

810 : (30 × 3) = 810 : 90 = 9

420 : (2 × 3) = 420 : 6 = 70

480 : (20 × 4) = 480 : 80 = 6

720 : (9 × 10) = 720 : 90 = 8

360 : (3 × 2) = 360 : 6 = 60

560 : (10 × 8) = 560 : 80 = 7

630 : (3 × 30) = 630 : 90 = 7

Второй

160 : (4 × 10) = 160 : 4 : 10 = 40 : 10 = 4

810 : (30 × 3) = 810 : 30 : 3 = 27 : 3 = 9

420 : (2 × 3) = 420 : 2 : 3 = 210 : 3 = 70

480 : (20 × 4) = 480 : 20 : 4 = 24 : 4 = 6

720 : (9 × 10) = 720 : 9 : 10 = 80 : 10 = 8

360 : (3 × 2) = 360 : 3 : 2 = 120 : 2 = 60

560 : (10 × 8) = 560 : 10 : 8 = 56 : 8 = 7

630 : (3 × 30) = 630 : 3 : 30 = 210 : 30 = 7

Первый удобнее.

4,5(32 оценок)
Ответ:
lili2003love12
lili2003love12
07.11.2021

Пошаговое объяснение:

Угол — фигура, образованная двумя лучами, которые выходят из одной точки (вершины).

Биссектриса — луч, который выходит из вершины угла и делит его пополам.

Развернутый угол — угoл, стороны которого лежат на одной прямой.

Прямой угoл — угoл, который равен половине развернутого угла.

Острый угол — угoл меньше прямого угла.

Тупой угoл — угoл больше прямого, но меньше развернутого.

Единицы измерения углов:

Градус — величина (градусная мера) угла, равная части развернутого угла.

Минута — часть градуса.

Секунда — часть

Смежные и вертикальные углы

Смежные и вертикальные углы

Смежные углы — два угла, у которых одна сторона общая,а две другие стороны являются дополняющими лучами.

Вертикальные углы — два угла, стороны одного из которых являются дополняющими лучами сторон другого.

4,6(35 оценок)
Это интересно:
Новые ответы от MOGZ: Математика
logo
Вход Регистрация
Что ты хочешь узнать?
Спроси Mozg
Открыть лучший ответ