М
Молодежь
К
Компьютеры-и-электроника
Д
Дом-и-сад
С
Стиль-и-уход-за-собой
П
Праздники-и-традиции
Т
Транспорт
П
Путешествия
С
Семейная-жизнь
Ф
Философия-и-религия
Б
Без категории
М
Мир-работы
Х
Хобби-и-рукоделие
И
Искусство-и-развлечения
В
Взаимоотношения
З
Здоровье
К
Кулинария-и-гостеприимство
Ф
Финансы-и-бизнес
П
Питомцы-и-животные
О
Образование
О
Образование-и-коммуникации
Taylis69
Taylis69
25.02.2020 04:36 •  Математика

решить задание по математике

👇
Ответ:
mynameisNastia
mynameisNastia
25.02.2020

Пошаговое объяснение:

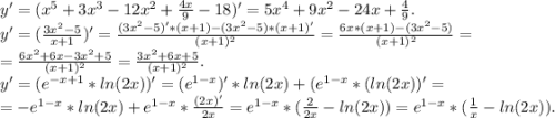
y'=(x^{5} +3x^{3} -12x^{2} +\frac{4x}{9} -18)'=5x^{4} +9x^{2} -24x+\frac{4}{9} .\\y'=(\frac{3x^{2} -5}{x+1} )'=\frac{(3x^{2} -5)'*(x+1)-(3x^{2}-5)*(x+1)' }{(x+1)^{2} } =\frac{6x*(x+1)-(3x^{2} -5)}{(x+1)^{2} } =\\=\frac{6x^{2}+6x-3x^{2} +5 }{(x+1)^{2} } =\frac{3x^{2} +6x+5}{(x+1)^{2} } .\\y'=(e^{-x+1} *ln(2x))'=(e^{1-x})'*ln(2x)+(e^{1-x} *(ln(2x))'=\\=-e^{1-x}*ln(2x) +e^{1-x} *\frac{(2x)'}{2x}= e^{1-x} *(\frac{2}{2x} -ln(2x))=e^{1-x} *(\frac{1}{x} -ln(2x)).

4,6(87 оценок)
Открыть все ответы
Ответ:
odarka1596
odarka1596
25.02.2020
1.1 бетта Весов дельт 1.2 дельта Персея 2.1 а= 11 гр. 4 мин d= 61 гр. 42 мин2.2 какая звезда Кита? 3. в 1 часе 15 гр. в 1 мин 15 мин в 1 сек 15 сек  11 сек*15 = 165 сек = 2 мин 45 сек 15 мин*15= 225 мин = 3 гр. 45 мин 9* 15 = 135 гр ссумируем 135 +3 гр. 45 мин + 2 мин 45 сек = 138 гр. 47 мин 45 сек  4.1 бетта Лебедя 4.2 альфа тельца  5.1 a=14 гр. 1мин d = - 16гр. 5 мин 5.2 (гамма Ориона) a= 5 гр. 26 мин d=6 гр. 22 мин 6 20* 15 = 300 мин или 5 гр. 13*15 = 195 гр ссумируем 195 гр. + 5 = 200 гр 7.В Козероге 8.Андромеда  1. 2.512 в степени (24-1) =1 586 542 120 раз 2. 2.512 в степени 3 = 15.85 3. 2.512 в степени (12-1) =25131.36 4. 2.512 в степени (-1.5 - (-26.5)) = 10 011 309 242.21 5. Сириус (альфа Б. Пса) имеет зв вел -1.5 а Денеб (альфа лебедя) = 1.3 2.512 в степени (1.3 - (-1.5)) = 13.18 6. Вега (альфа лиры) имеет зв. вел 0 Сириус -1.5 2.512 в степени (0 - (-1.5))=3.95 На здооровье
4,5(35 оценок)
Ответ:
Hope21
Hope21
25.02.2020
1.1 бетта Весов дельт 1.2 дельта Персея 2.1 а= 11 гр. 4 мин d= 61 гр. 42 мин2.2 какая звезда Кита? 3. в 1 часе 15 гр. в 1 мин 15 мин в 1 сек 15 сек  11 сек*15 = 165 сек = 2 мин 45 сек 15 мин*15= 225 мин = 3 гр. 45 мин 9* 15 = 135 гр ссумируем 135 +3 гр. 45 мин + 2 мин 45 сек = 138 гр. 47 мин 45 сек  4.1 бетта Лебедя 4.2 альфа тельца  5.1 a=14 гр. 1мин d = - 16гр. 5 мин 5.2 (гамма Ориона) a= 5 гр. 26 мин d=6 гр. 22 мин 6 20* 15 = 300 мин или 5 гр. 13*15 = 195 гр ссумируем 195 гр. + 5 = 200 гр 7.В Козероге 8.Андромеда  1. 2.512 в степени (24-1) =1 586 542 120 раз 2. 2.512 в степени 3 = 15.85 3. 2.512 в степени (12-1) =25131.36 4. 2.512 в степени (-1.5 - (-26.5)) = 10 011 309 242.21 5. Сириус (альфа Б. Пса) имеет зв вел -1.5 а Денеб (альфа лебедя) = 1.3 2.512 в степени (1.3 - (-1.5)) = 13.18 6. Вега (альфа лиры) имеет зв. вел 0 Сириус -1.5 2.512 в степени (0 - (-1.5))=3.95 На здооровье
4,7(22 оценок)
Это интересно:
Новые ответы от MOGZ: Математика
Полный доступ к MOGZ
Живи умнее Безлимитный доступ к MOGZ Оформи подписку
logo
Вход Регистрация
Что ты хочешь узнать?
Спроси Mozg
Открыть лучший ответ