М
Молодежь
К
Компьютеры-и-электроника
Д
Дом-и-сад
С
Стиль-и-уход-за-собой
П
Праздники-и-традиции
Т
Транспорт
П
Путешествия
С
Семейная-жизнь
Ф
Философия-и-религия
Б
Без категории
М
Мир-работы
Х
Хобби-и-рукоделие
И
Искусство-и-развлечения
В
Взаимоотношения
З
Здоровье
К
Кулинария-и-гостеприимство
Ф
Финансы-и-бизнес
П
Питомцы-и-животные
О
Образование
О
Образование-и-коммуникации
vredina34
vredina34
29.07.2021 05:45 •  Математика

Разложи на множители 6u2−6 .

Выбери правильный ответ:
6(u2−2u+1)
другой ответ
6(u2−6)
6(u2−12u+36)
6(u−1)⋅(u+1)

👇
Ответ:
Егорик69
Егорик69
29.07.2021

смотри на фотке.......


Разложи на множители 6u2−6 . Выбери правильный ответ: 6(u2−2u+1) другой ответ 6(u2−6) 6(u2−12u+36)
4,8(60 оценок)
Ответ:
adexsio
adexsio
29.07.2021

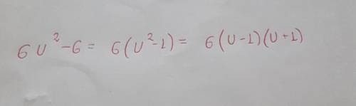
6*(u+1)*(u-1)

Пошаговое объяснение:

6u²−6=6*(u²-1)=6*(u+1)*(u-1)

4,8(73 оценок)
Открыть все ответы
Ответ:
ponomariov17p01k9s
ponomariov17p01k9s
29.07.2021
Образцы преступников описаны во многих книгах и представлены в целом ряде фильмов. Широко известны кинофильмы «Калина красная », «Холодное лето 53-го», телевизионный фильм «Место встречи изменить нельзя».Поведение показанных в этих фильмах преступников свидетельствует практически о полном отсутствии у них каких бы то ни было нравственных качеств и моральных принципов. Для них характерны мстительность, жестокость, озлобленность, немотивированная агрессивность, грубость по отношению к слабому, стремление его унизить и оскорбить, в то же время подобострастное и трусливое поведение при общении с более сильными, лживость, жадность.
4,6(50 оценок)
Ответ:
ayshatalieva01
ayshatalieva01
29.07.2021
Пусть ВСЕ велосипеды будут ТРЕХколесные.
Делим 27/3=9 рулей.  Это 9 трехколесных Мало рулей..
Меняем ДВА ТРЕХКОЛЕСНЫХ на ТРИ ДВУХКОЛЕСНЫХ.
3*2кол + (9-2)*3кол =27 колес., но всего 3+7=10 рулей.
Меняем еще раз ДВА по ТРИ колеса на ТРИ по ДВА
6*2кол + 5*3кол = 27 кол, а РУЛЕЙ 6+5=11.
меняем третий раз и получаем
9*2кол +3*3кол = 27 рулей и как раз 9+3=12 рулей.
ответ:  9 двухколесных и 3 трехколесных.
Можно и сразу определить число расчетов - от каждой замены у нас прибавляется ОДИН РУЛЬ. Значит и сразу надо было менять ТРИ раза трехколесные.  
4,6(92 оценок)
Новые ответы от MOGZ: Математика
logo
Вход Регистрация
Что ты хочешь узнать?
Спроси Mozg
Открыть лучший ответ