М
Молодежь
К
Компьютеры-и-электроника
Д
Дом-и-сад
С
Стиль-и-уход-за-собой
П
Праздники-и-традиции
Т
Транспорт
П
Путешествия
С
Семейная-жизнь
Ф
Философия-и-религия
Б
Без категории
М
Мир-работы
Х
Хобби-и-рукоделие
И
Искусство-и-развлечения
В
Взаимоотношения
З
Здоровье
К
Кулинария-и-гостеприимство
Ф
Финансы-и-бизнес
П
Питомцы-и-животные
О
Образование
О
Образование-и-коммуникации
Angelina626
Angelina626
30.09.2020 21:20 •  Математика

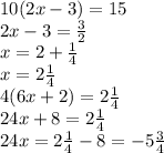
Решите уравнения 4(6х+2)=10(2х-3)=15​

👇
Ответ:
Stanislav177
Stanislav177
30.09.2020

10(2x - 3) = 15 \\ 2x - 3 = \frac{3}{2} \\ x = 2 + \frac{1}{4} \\ x = 2 \frac{1}{4} \\ 4(6x + 2 ) = 2 \frac{1}{4} \\ 24x + 8 = 2 \frac{1}{4} \\ 24x = 2 \frac{1}{4} - 8 = - 5 \frac{3}{4}

4,7(6 оценок)
Открыть все ответы
Ответ:
fonato
fonato
30.09.2020
1. Нет, никаким образом не тождественны. Вот число 1 равно числу 2,2748? Нет? Значит не тождественно

2. 51000 > 15999; 75196 > 7596; 6280 < 6284

3. а) Левое число < правого числа
б) Левое число > правого числа
в) Левое число > правого числа
г) Левое число < правого числа

Обоснование: Если мы знаем самые высокие разряды у чисел, то мы можем их сравнить, так как последующие разряды никак не влияют на число при сравнении. Или же, зная кол-во разрядов, мы тоже можем сравнить число (если в одном числе разрядов больше или меньше) с условие того, что мы не знаки некоторые разряды

4. Я не информатик, извини

5. а) 58 > 57
б) 11112 < 11113
в) 12345 > 1235
4,8(26 оценок)
Ответ:
javajaaripo
javajaaripo
30.09.2020
1. Нет, никаким образом не тождественны. Вот число 1 равно числу 2,2748? Нет? Значит не тождественно

2. 51000 > 15999; 75196 > 7596; 6280 < 6284

3. а) Левое число < правого числа
б) Левое число > правого числа
в) Левое число > правого числа
г) Левое число < правого числа

Обоснование: Если мы знаем самые высокие разряды у чисел, то мы можем их сравнить, так как последующие разряды никак не влияют на число при сравнении. Или же, зная кол-во разрядов, мы тоже можем сравнить число (если в одном числе разрядов больше или меньше) с условие того, что мы не знаки некоторые разряды

4. Я не информатик, извини

5. а) 58 > 57
б) 11112 < 11113
в) 12345 > 1235
4,5(87 оценок)
Это интересно:
Новые ответы от MOGZ: Математика
logo
Вход Регистрация
Что ты хочешь узнать?
Спроси Mozg
Открыть лучший ответ