М
Молодежь
К
Компьютеры-и-электроника
Д
Дом-и-сад
С
Стиль-и-уход-за-собой
П
Праздники-и-традиции
Т
Транспорт
П
Путешествия
С
Семейная-жизнь
Ф
Философия-и-религия
Б
Без категории
М
Мир-работы
Х
Хобби-и-рукоделие
И
Искусство-и-развлечения
В
Взаимоотношения
З
Здоровье
К
Кулинария-и-гостеприимство
Ф
Финансы-и-бизнес
П
Питомцы-и-животные
О
Образование
О
Образование-и-коммуникации
lahtina195454
lahtina195454
19.07.2021 03:06 •  Математика

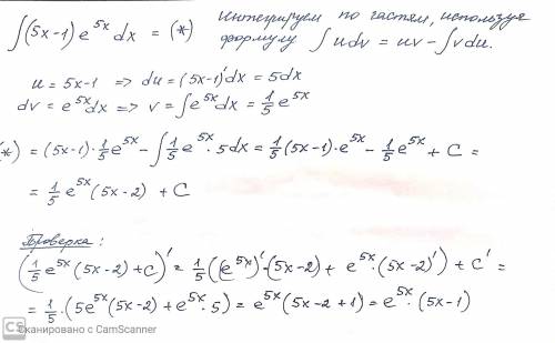
найти неопределённый интеграл:
∫(5x-1) * e^(5x) * dx

👇
Ответ:
podshchipkova
podshchipkova
19.07.2021

Пошаговое объяснение: решение в фале


найти неопределённый интеграл: ∫(5x-1) * e^(5x) * dx
4,5(41 оценок)
Открыть все ответы
Ответ:
JULIYAc
JULIYAc
19.07.2021

Дано неравенство: 6x² − x - 5 > 0.

Находим корни квадратного трёхчлена: 6x² − x - 5  = 0.

Квадратное уравнение, решаем относительно x:

Ищем дискриминант:

D=(-1)^2-4*6*(-5)=1-4*6*(-5)=1-24*(-5)=1-(-24*5)=1-(-120)=1+120=121;

Дискриминант больше 0, уравнение имеет 2 корня:

x1=(√121-(-1))/(2*6)=(11-(-1))/(2*6)=(11+1)/(2*6)=12/(2*6)=12/12=1;

x2=(-√121-(-1))/(2*6)=(-11-(-1))/(2*6)=(-11+1)/(2*6)=-10/(2*6)=-10/12=-(5/6)≈-0.833333.

 откуда x1 = 1 и x2 = -(5/6).

Раскладываем левую часть неравенства на множители: 6(x – 1) (x +(5/6)) > 0. Точки -5/6 и 1  разбивают ось X на три промежутка:

ОО⟶Х

                -5/6                 1 

Точки  -5/6  и 1 выколоты. Это связано с тем, что решаемое неравенство — строгое (так что x не может равняться -5/6 или 1). Далее определяем знаки левой части неравенства на каждом из промежутков

         +                 –                    +

ОО⟶Х

                 -5/6                1

Получаем: x < -5/6 или x > 1.

4,4(24 оценок)
Ответ:
witherMarlen
witherMarlen
19.07.2021

Пошаговое объяснение:

Для того, чтобы построить диаграмму, составим таблицу.

1) В нее внесем место отдыха, количество отдыхающих.

2) Рассчитаем общее количество отдыхающих, как сумму всех отдыхающих учащихся.

3) Найдем долю отдыхающих в каждом месте отдыха:

Боровое. Доля отдыхающих = 180/360 = 0,50.

Алаколь. Доля отдыхающих = 92/360 = 0,26.

и т.д.

3) По условию диаграмму строим круговую, поэтому рассчитаем угол в градусах, который соответствует каждому месту отдыха.

Полный круг = 360°.

Боровое. Доля отдыхающих = 0,5. Соответствующий угол = 360 * 0,5 = 180°.

Алаколь. Доля отдыхающих = 0,26. Соответствующий угол = 360 * 0,26 = 92°.

И т.д.

Результат представлен в приложении.

Числа на секторах диаграммы указывают число отдыхающих в соответствующем месте отдыха.


Ученики школы приняли участие в опросе об их любимом месте отдыха.результат данного опроса представл
4,5(74 оценок)
Новые ответы от MOGZ: Математика
logo
Вход Регистрация
Что ты хочешь узнать?
Спроси Mozg
Открыть лучший ответ