М
Молодежь
К
Компьютеры-и-электроника
Д
Дом-и-сад
С
Стиль-и-уход-за-собой
П
Праздники-и-традиции
Т
Транспорт
П
Путешествия
С
Семейная-жизнь
Ф
Философия-и-религия
Б
Без категории
М
Мир-работы
Х
Хобби-и-рукоделие
И
Искусство-и-развлечения
В
Взаимоотношения
З
Здоровье
К
Кулинария-и-гостеприимство
Ф
Финансы-и-бизнес
П
Питомцы-и-животные
О
Образование
О
Образование-и-коммуникации
эля6910
эля6910
19.12.2020 12:37 •  Математика

Реши уравнение:
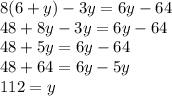
8⋅(6+y)−3y=6y−64

👇
Ответ:
Лиза5685
Лиза5685
19.12.2020

Пошаговое объяснение:

8(6 + y) - 3y = 6y - 64 \\ 48 + 8y - 3y = 6y - 64 \\ 48 + 5y = 6y - 64 \\ 48 + 64 = 6y - 5y \\ 112 = y \\

можно проверить подставив вместо у 112 то получится

608=608

выберите как лучший если понравится

4,6(90 оценок)
Открыть все ответы
Ответ:
SaNur78
SaNur78
19.12.2020

Пошаговое объяснение:

Задача №1

Большая собака - 9 кг

Маленькая собака - 3 кг

9+3=12 кг общий вес собак

9/12=3/4 часть корма , который достался большой собаке

3/12=1/4 часть корма , который достался маленькой собаке

ответ : маленькой собаке досталась 1/4 часть корма

Задача №2

Отношение длины комнаты к ее ширине 5:4

а) найти площадь комнаты , если ее длина 6 см ( вероятно ошибка и надо измерять в м, по-этому в дальнейшем примем длину за 6 м)

Пусть ширина комнаты х, тогда

6/х=5/4

5х=24

х=24:5

х=4,8 м - ширина комнаты

S=a*b=6*4,8=28,8 м² - площадь комнаты

ответ : площадь комнаты 28,8 м²

б) найти площадь комнаты , если ее длина больше ширины на 0,8

Пусть длина х м , тогда ширина (х-0,8) м, значит

х/(х-0,8)=5/4

5(х-0,8)=4х

5х-4=4х

х=4 м -длина комнаты

4-0,8=3,2 м - ширина комнаты

S=4*3,2=12,8 м²- площадь комнаты

ответ : площадь комнаты 12,8 м²

4,4(50 оценок)
Ответ:



    853 907
 -  773 907

        80  000  

   число стоящее в разряде десятков тысяч    -   7


разряд            разряд                 разряд                 разряд        разряд              разряд
  сотен               десятков             единиц                сотен          десятков             единиц
тысяч                 тысяч                   тысяч


  7                             7                         3                                 9                  0                        7

+                                8



    8                            5                            3                               9                   0                        7       

                      вот так то так     

 

4,5(91 оценок)
Это интересно:
Новые ответы от MOGZ: Математика
logo
Вход Регистрация
Что ты хочешь узнать?
Спроси Mozg
Открыть лучший ответ