М
Молодежь
К
Компьютеры-и-электроника
Д
Дом-и-сад
С
Стиль-и-уход-за-собой
П
Праздники-и-традиции
Т
Транспорт
П
Путешествия
С
Семейная-жизнь
Ф
Философия-и-религия
Б
Без категории
М
Мир-работы
Х
Хобби-и-рукоделие
И
Искусство-и-развлечения
В
Взаимоотношения
З
Здоровье
К
Кулинария-и-гостеприимство
Ф
Финансы-и-бизнес
П
Питомцы-и-животные
О
Образование
О
Образование-и-коммуникации
Karinakotik200165
Karinakotik200165
28.02.2022 23:24 •  Математика

с уравнениями (желательно с решением)
а) -(s-10,6)+14,8=2,5
б) -(-4,1+k)-14,7=5,9

👇
Ответ:
Mykolaj8
Mykolaj8
28.02.2022

Пошаговое объяснение:

а)

-(s-10,6)+14,8=2,5

-s + 10,6 + 14,8 = 2,5

-s + 25,4 = 2,5

s = 25,4 - 2,5

s = 22,9

б)

-(-4,1+k)-14,7=5,9

4,1 - k - 14,7 = 5,9

-10,6 - k = 5,9

k = -10,6 - 5,9

k = -16,5

4,4(67 оценок)
Ответ:
donga123
donga123
28.02.2022

Пошаговое объяснение:

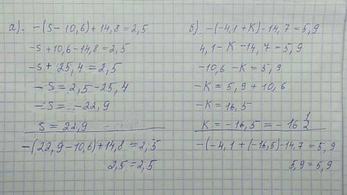
ответ на фото.

..........


с уравнениями (желательно с решением) а) -(s-10,6)+14,8=2,5 б) -(-4,1+k)-14,7=5,9
4,4(19 оценок)
Открыть все ответы
Ответ:
pollllyyy
pollllyyy
28.02.2022
1. Выбрать ткань:
а) Ситец, сатин.
б) Шелк.
в) Капрон.
2. Определить необходимые инструменты, при
а) Швейная машина.
б) Утюжильная доска, утюг, пульверизатор.
в) Нитки, хлопчатобумажные.
г) Ручная игла, булавки, ножницы, наперсток.
д) Сантиметровая лента, линейка, мелок.
е) Учебник, рабочая тетрадь.
3. Выполнить конструирование и моделирование изделия. 
4. Выполнить раскрой изделия. 
5. Составить технологическую последовательность изготовления и изготовить его.
6. Оценить проделанную работу. 
7. Защитить проект.

Технологическая последовательность изготовления фартука:
1) Обработала карман (соединила детали кармана стачным швом вразутюжку, обработала верхнюю, нижнюю и боковые стороны кармана швом вподгибку с закрытым срезом).
2) Настрочила карман на нижнюю часть фартука (накладным швом с закрытым срезом).
3) Обработала нижние  боковые срезы фартука (швом вподгибку с закрытым срезом).
4) Обработала верхний срез фартука (мягкие складки).
5) Обработала пояс.
6) Притачала пояс к нижней части фартука.
7) Отутюжила готовые изделия.
4,7(89 оценок)
Ответ:
kuku1337
kuku1337
28.02.2022
Краткая запись:
1 рулон = 12 м - ? тенге.
2 рулон = 17 м - (? + 3750) тенге.

Вопрос:
Сколько соти каждый рулон ткани?

Решение:
1) 17 - 12 = 5 (м) - на столько второй рулон больше первого
2) 5 метров стоят 3750 тенге
3750 : 5 = 750 (тенге) - столько стоит 1 метр ткани.
3) 750 * 12 = 9000 (тенге) - стоит первый рулон.
4)
1 вариант: 9000 + 3750 = 12750 (тенге) - стоит второй рулон.
2 вариант: 750 * 17 = 12750 (тенге) - стоит второй рулон.

ответ: за первый рулон нужно заплатить 9000 тенге, а за второй - 12750 тенге.
4,7(56 оценок)
Это интересно:
Новые ответы от MOGZ: Математика
logo
Вход Регистрация
Что ты хочешь узнать?
Спроси Mozg
Открыть лучший ответ