М
Молодежь
К
Компьютеры-и-электроника
Д
Дом-и-сад
С
Стиль-и-уход-за-собой
П
Праздники-и-традиции
Т
Транспорт
П
Путешествия
С
Семейная-жизнь
Ф
Философия-и-религия
Б
Без категории
М
Мир-работы
Х
Хобби-и-рукоделие
И
Искусство-и-развлечения
В
Взаимоотношения
З
Здоровье
К
Кулинария-и-гостеприимство
Ф
Финансы-и-бизнес
П
Питомцы-и-животные
О
Образование
О
Образование-и-коммуникации
карина4556
карина4556
07.03.2023 06:42 •  Математика

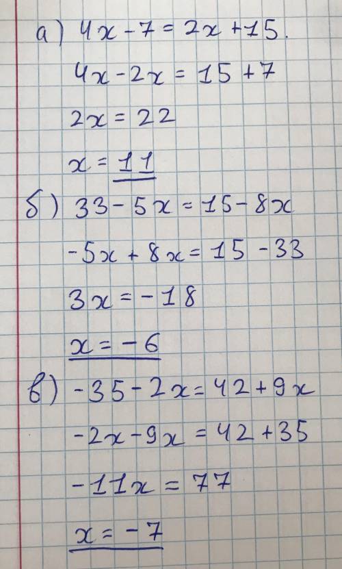
Решите уравнения
а) 4х-7=2х+15
б) 33-5х=15-8х
в) -35-2х=42+9х

👇
Ответ:
MariaUralova
MariaUralova
07.03.2023

ответ: вот

а) 11

б) -6

в) -7


Решите уравнения а) 4х-7=2х+15 б) 33-5х=15-8х в) -35-2х=42+9х
4,6(87 оценок)
Открыть все ответы
Ответ:
daniilstepanov2
daniilstepanov2
07.03.2023

Пошаговое объяснение:

1)По условию :

а=х м

b=(х+4) м

S= 45 м²

Формула площади :

S=a*b можем записать уравнение:

x(4+x)=45

4х+ х²= 45

х²+4х -45=0

D=16+180=196

√196=14

х₁=( -4+√D)/2= (-4+14)/2=5

x₂= (-4-√D)/2=(-4-14)/2=-9 не подходит , поскольку отрицательный , чего не может быть

Значит одна сторона 5 м, а вторая

5+4=9 м

а= 5м , b= 9м

2) Получаем систему уравнений

5x - 3y = 17

x² + y² = 17

из первого уравнения найдем у и подставим во второе уравнение

y = (5x-17)/3

x² + ((5x-17)/3)²=17

9х² + (5x-17)²=17*9

9x² + 25x² - 170x + 289 = 153

34x²-170x+136=0

разделим на 34

x²-5x+4=0

x²-4x-x+4=0

x(x-4)-(x-4)=0

(x-4)(x-1)=0

x₁=1

x₂=4

подставим значения х и найдем у

y = (5x-17)/3

y₁=(5*1-17)/3=-4

у₂= (5*4-17)/3=1

( 1; -4) и ( 4; 1)

4,6(95 оценок)
Ответ:

ответ:1. Дуремар торгует пиявками в Стране Дураков и продаёт каждую

за 9 сольдо. За право выловить одну пиявку в болоте он платит 5 сольдо,

а за право торговать пиявками в течение месяца - 200 сольдо.

1) Чему равна выручка Дуремара, продавшего в течение месяца

а) 19; b) 27; c) 87 пиявок?

2) Чему равны общие затраты Дуремара, продавшего в течение месяца

а) 37; b) 54; c) 68 пиявок?

3) Чему равна прибыль Дуремара, продавшего в течение месяца

а) 59; b) 62; c) 77 пиявок?

вас решите побыстрее​

1

СМОТРЕТЬ ОТВЕТ

Пошаговое объяснение:

4,4(77 оценок)
Новые ответы от MOGZ: Математика
logo
Вход Регистрация
Что ты хочешь узнать?
Спроси Mozg
Открыть лучший ответ