Вход
Регистрация
Спроси Mozg AI
М
Молодежь
К
Компьютеры-и-электроника
Д
Дом-и-сад
С
Стиль-и-уход-за-собой
П
Праздники-и-традиции
Т
Транспорт
П
Путешествия
С
Семейная-жизнь
Ф
Философия-и-религия
Б
Без категории
М
Мир-работы
Х
Хобби-и-рукоделие
И
Искусство-и-развлечения
В
Взаимоотношения
З
Здоровье
К
Кулинария-и-гостеприимство
Ф
Финансы-и-бизнес
П
Питомцы-и-животные
О
Образование
О
Образование-и-коммуникации
.....больше.....
..меньше..
mvchudakova
17.08.2020 23:00 •
Математика
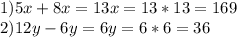
У выражения и найди их значения.
5х + 8х, при х = 13
12у – бу, при у = 6
👇
Увидеть ответ
Ответ:
sofiyasan7
17.08.2020
Пошаговое объяснение:
4,5
(22 оценок)
Открыть все ответы
Ответ:
kshig
17.08.2020
1.Основную часть гидросферы составляют воды:
г) Мирового океана.
2. Как называются участки суши, глубоко вдающиеся в океан?
а) полуострова;
3. Соленость воды в океане зависит от:
г) все выше перечисленное.
4. В чем измеряют соленость морской воды?
б) в промилле;
5. Как изменяется температура поверхностных вод океана?
в) при удалении от экватора понижается;
6. Какие волны возникают при землетрясении в океане?
г) цунами.
7. Что является причиной образования океанических течений?
а) постоянные ветры;
8. Как называются воды, содержащиеся в земной коре?
б) подземные;
9. Какое озеро самое большое по площади на Земле?
г) Каспийское.
10. Какой остров на Земле почти полностью покрыт ледником?
в) Гренландия;
4,5
(21 оценок)
Ответ:
65866666
17.08.2020
1.Основную часть гидросферы составляют воды:
г) Мирового океана.
2. Как называются участки суши, глубоко вдающиеся в океан?
а) полуострова;
3. Соленость воды в океане зависит от:
г) все выше перечисленное.
4. В чем измеряют соленость морской воды?
б) в промилле;
5. Как изменяется температура поверхностных вод океана?
в) при удалении от экватора понижается;
6. Какие волны возникают при землетрясении в океане?
г) цунами.
7. Что является причиной образования океанических течений?
а) постоянные ветры;
8. Как называются воды, содержащиеся в земной коре?
б) подземные;
9. Какое озеро самое большое по площади на Земле?
г) Каспийское.
10. Какой остров на Земле почти полностью покрыт ледником?
в) Гренландия;
4,5
(50 оценок)
Это интересно:
К
Компьютеры-и-электроника
23.11.2022
Как изменить имя контакта в WhatsApp и почему это важно?...
С
Стиль-и-уход-за-собой
26.04.2022
Как укладывать волнистые волосы: советы и лайфхаки...
Ф
Финансы-и-бизнес
16.12.2022
10 шагов к успеху: как стать торговцем на фермерском рынке...
29.03.2023
Как освободиться от чувства вины...
Ф
Финансы-и-бизнес
10.10.2020
Секреты получения Платиновой карточки American Express...
17.09.2022
Как ухаживать за мягкими игрушками...
20.12.2022
Как поцеловать девушку в кино (для учеников средней школы)...
В
Взаимоотношения
23.02.2021
Как ответить тому, кто ненавидит вас: советы психологов...
С
Семейная-жизнь
27.01.2022
Как подростку справиться с потерей отца: советы от психологов...
В
Взаимоотношения
21.11.2020
Страх перед длинными словами: как правильно произносить сложные термины?...
Новые ответы от MOGZ: Математика
самая29
05.06.2023
Площина а проходить через сеоредини сторін ceі cf трикутника cef. знайти довжину відрізка ef, якщо відстань між точками перетину площини a зі сторонами ce і cf дорівнює 14 см...
alena679
18.05.2020
Решить производные сложные функции (...
Jdjsjsbbsbsbдевочка
18.02.2022
Перелей воду так, чтобы во всех сосудах было одинаковое количество воды...
хорошист537
22.03.2022
Дробо : 27/36, 40/45, 14/28, 21/35, 13/91...
mariach1
16.08.2020
Пусть один отрезок ав, причём точка а имеет координаты (1; 2). известно, что точка к с координатами (2; 5) лежит на этом отрезке и при этом делит его таким образом, что ак относится...
bokkvika2908
30.01.2023
На доске написаны натуральные числа от 1 до 4.за один ход можно взять нок всех чисел,разделить на одно из чисел и результат деления записать на доску вместо этого числа.какое наименьшее...
Inozemceva1981
04.10.2021
Из цифр 1 2 3 4 5 6 7 8 9 =1000, можно поставить *, +, -, : ...
DontRobot
25.11.2022
Апофема правельної піраміди дорівнює 5 см а периметр основи 20см знайдіть площу бісної поверхні цієї піраміди...
LoVeR789
15.03.2021
1. дано множество чисел 4: 4 = {3,5; – 2; 0; 4,8 ; - 1,4; 5; 5; выделите из множества аподмножества: b – натуральных чисел, с- целых чисел и d— рациональных чисел. постройте диаграмму...
makhero111
13.06.2020
Когда и длину,и ширину прямоугольника увеличили на 3 см,его площадь увеличилась на 48 см в квадрате.найдите периметр получившегося прямоугольника. ответьте,...
MOGZ ответил
Под озимыми культурами было занято на 480 га больше, чем под яровыми . после того...
Решите ! мне ну ! решите ! мне ну ! 10) у светловолосой женщины со 2 группой крови...
Решите значение эдс измеренное в вольтах, задано уравнением где t выражено в секундах....
Сколько квадратных сантиметров в 8 квадратных дециметрах...
Как правильно сделать это ? если кто знает read the sentences choosing the correct...
Полное сочинение на тему нашествие галлов на рим...
Вшаре на расстоянии 3 см от его центра проведена секущая плоскость. найти площадь...
При к условиям внешней среды что это?...
Из ниже списка подберите такие пары веществ,чтобы вещества в каждой паре взаимодействовали...
Сочинение как мне стать чемпионом по волейболу...
Полный доступ к MOGZ
Живи умнее Безлимитный доступ к MOGZ
Оформи подписку
О НАС
О нас
Блог
Условия пользования
Авторское право
Политика конфиденциальности
Предпочтения cookie-файлов
ПОМОЩЬ
Зарегистрируйся
Центр помощи
Центр безопасности
App
Вход
Регистрация
Что ты хочешь узнать?
Спроси Mozg
Открыть лучший ответ
Пошаговое объяснение: