М
Молодежь
К
Компьютеры-и-электроника
Д
Дом-и-сад
С
Стиль-и-уход-за-собой
П
Праздники-и-традиции
Т
Транспорт
П
Путешествия
С
Семейная-жизнь
Ф
Философия-и-религия
Б
Без категории
М
Мир-работы
Х
Хобби-и-рукоделие
И
Искусство-и-развлечения
В
Взаимоотношения
З
Здоровье
К
Кулинария-и-гостеприимство
Ф
Финансы-и-бизнес
П
Питомцы-и-животные
О
Образование
О
Образование-и-коммуникации
дарья2411по
дарья2411по
22.03.2020 06:03 •  Математика

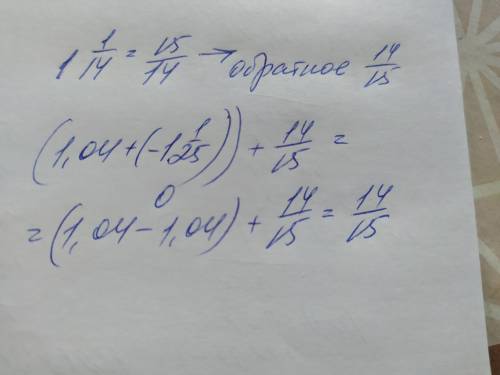
надо это проверочная работа с решением

👇
Ответ:
Loliss
Loliss
22.03.2020

Пошаговое объяснение:


надо это проверочная работа с решением
4,7(87 оценок)
Открыть все ответы
Ответ:
kristinazmataeva
kristinazmataeva
22.03.2020
Жена: плохую привычку не скинешь, хорошую не наденешь. муж: всяк человек человеком рождается, да не всяк ведёт себя по- человечески. муж: плохая жена – плохая слава. жена: если плохо ведёшь, в том жена не виновата. муж: кто на какой женится, тот по ней и изменится. жена: с плохим мужем и жена станет плохой. муж: плох тот муж, который капризы жены исполняет. жена: луга красивы цветами девушки – . муж: кто ходит в кафтане, а кто в рваном чепане. жена: замуж выходить нравы других находить. муж: без жены хоть утопись, а с плохой хоть удавись. жена: хороший муж – счастье, плохой несчастье. муж: плохую жену легко найти, да тяжело от неё уйти. жена: из семьи уйдёшь – в жизни счастья не найдешь. муж: как тайно себя не выведешь, жену не проведёшь. жена: чужую жену полюбишь, чужое счастье погубишь. муж: глупая жена, уж говорливая. жена: с кем поведешься, от того и наберёшься.
4,8(41 оценок)
Ответ:
Kathrione
Kathrione
22.03.2020
Присоединение Марийского края к Русскому государству носит сложный, противоречивый характер. Однако из-за господства в исторической науке России, а затем СССР русоцентристского подхода преподносилась тенденциозная и нередко фальсифицированная история вхождения марийцев и других народов Поволжья в состав Русского государства. Единичные, правда, далеко не всегда удачные в научном плане попытки применения иных подходов к рассматриваемой проблеме по причинам политического и идеологического характера отвергались государством и официальной наукой
4,4(2 оценок)
Это интересно:
Новые ответы от MOGZ: Математика
logo
Вход Регистрация
Что ты хочешь узнать?
Спроси Mozg
Открыть лучший ответ