М
Молодежь
К
Компьютеры-и-электроника
Д
Дом-и-сад
С
Стиль-и-уход-за-собой
П
Праздники-и-традиции
Т
Транспорт
П
Путешествия
С
Семейная-жизнь
Ф
Философия-и-религия
Б
Без категории
М
Мир-работы
Х
Хобби-и-рукоделие
И
Искусство-и-развлечения
В
Взаимоотношения
З
Здоровье
К
Кулинария-и-гостеприимство
Ф
Финансы-и-бизнес
П
Питомцы-и-животные
О
Образование
О
Образование-и-коммуникации
Alaaxbek
Alaaxbek
21.01.2020 15:21 •  Математика

Найдите неизвестный член пропорции
За выполнение

👇
Ответ:
Dizer1
Dizer1
21.01.2020

a) 10

б)  -8

Пошаговое объяснение:

a)

\frac{2x}{36}=\frac{80:4}{36} ;\\ 2x=\frac{80}{4}\\ x=\frac{80}{8} \\x=10.\\

б)

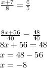
\frac{x+7}{8}=\frac{6}{5} \\\\\\\frac{8x+56}{40}=\frac{48}{40} \\ 8x+56=48\\x=48-56\\x=-8

4,6(2 оценок)
Открыть все ответы
Ответ:
Fogles12
Fogles12
21.01.2020
4 часа 50 минут... минутная стрелка -60 градусов от 12 часов, часовая стрелка между цифрами 4 и 5 (120-150 градусов)В зеркале все наоборот...минутная стрелка +60 градусов от 12 часов (что соответствует 10 минут от текущего часа)часовая стрелка между 120 и 150 градусами до 12 часов, что соответствует положению между цифрами 7 и 8 часов... Следовательно на самом деле было 7 часов 10 минут...Если было утро, то на автобус он уже опоздал,если вечер, то можно лечь спать и не париться... до экскурсии еще долго ;)
4,4(29 оценок)
Ответ:
Эта фраза считается золотым правилом морали. Она сформулирована в нагорной проповеди Иисуса, которая описана в главе 7 Евангелие от Матфея (гл. 7 стр. 12): "Итак во всем, как хотите, чтобы с вами поступали люди, так поступайте и вы с ними, ибо в этом закон и пророки."Эта мысль была высказана и древнееврейским философом Гилелем (112 г. до н. э. — 8 г. н. э). Гилель родился в Бавеле (Вавилоне) и там прожил первые сорок лет. Несмотря на происхождение из рода царя Давида, он был крайне беден и зарабатывал на жизнь тяжёлым ремеслом дровосека. В 72 году до н.э. Гилель отправился в Землю Израиля, чтобы изучать Тору у величайших мудрецов. Сущность Торы Гилель понимал так: любить другого, как самого себя. Рассказывают, что когда один иноверец заявил, что готов принять иудаизм при условии, что его научат всей Торе сразу – «пока он стоит на одной ноге», Гилель ответил: «То, что ненавистно тебе, не делай другому, – в этом вся Тора. Остальное – комментарии. Иди и учись» (Шабат 31а).Близкая мысль встречается у китайского философа Конфуция («Луньюй»): «Не делай человеку того, чего не желаешь себе. И тогда исчезнет ненависть в государстве, исчезнет ненависть в семье».Выражение указано в Американском словаре "American Heritage Dictionary of Idioms" Кристина Аммера (by Christine Ammer), 1992 - "do unto others as you would have them do unto you" (поступай по отношению к другим так, как ты хотел бы, чтобы они поступали по отношению к тебе). В этом словаре это правило также именуется золотым (golden rule). Там же указано, что выражение встречается в древних религиозных источниках и трудах - Новый завет, Талмуд, Коран, сборниках Конфуция (New Testament, Talmud, Koran, and the Analects of Confucius). Указывается, что одно из наиболее ранних упоминаний в английском языке в переводе Сократа в 1477 году (Earl Rivers' translation of a saying of Socrates (Dictes and Sayenges of the Philosophirs, 1477): "Do to other as thou wouldst they should do to thee, and do to none other but as thou wouldst be done to.")
4,7(97 оценок)
Это интересно:
Новые ответы от MOGZ: Математика
logo
Вход Регистрация
Что ты хочешь узнать?
Спроси Mozg
Открыть лучший ответ