М
Молодежь
К
Компьютеры-и-электроника
Д
Дом-и-сад
С
Стиль-и-уход-за-собой
П
Праздники-и-традиции
Т
Транспорт
П
Путешествия
С
Семейная-жизнь
Ф
Философия-и-религия
Б
Без категории
М
Мир-работы
Х
Хобби-и-рукоделие
И
Искусство-и-развлечения
В
Взаимоотношения
З
Здоровье
К
Кулинария-и-гостеприимство
Ф
Финансы-и-бизнес
П
Питомцы-и-животные
О
Образование
О
Образование-и-коммуникации
sachaice
sachaice
03.11.2021 18:53 •  Математика

Можно двигать тока 1 спичку плачу

👇
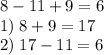
Ответ:

8-11+9=6\\\;\;1)\;8+9=17\\2)\;17-11=6

Или

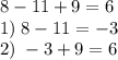
8-11+9=6\\1)\;8-11=-3\\2)\;-3+9=6


Можно двигать тока 1 спичку плачу
4,4(60 оценок)
Открыть все ответы
Ответ:
Almira207
Almira207
03.11.2021
Пусть в куске было х метров ткани, тогда
0,5 * х = 0,5х (м) - продали в первый день
0,5 * 0,5х + 5 = 0,25х + 5 (м) - продали во второй день
Уравнение: х = 0,5х + 0,25х + 5 
                    х - 0,5х - 0,25х = 5
                    0,25х = 5
                    х = 5 : 0,25
                    х = 20
ответ: 20 метров.

по действиям).
Всю ткань примем за единицу (целое).
1) 1 : 2 = 1/2 - часть ткани, которую продали в первый день;
2) 1 - 1/2 = 1/2 - остаток;
3) 1/2 : 2 = 1/2 * 1/2 = 1/4 - часть ткани, которую продали во второй день (осталось 5 метров);
4) 1/2 + 1/4 = 2/4 + 1/4 = 3/4 - часть ткани, которую продали за два дня (осталось 5 метров);
5) 1 - 3/4 = 4/4 - 3/4 = 1/4 - часть ткани, равная 5 метрам;
6) 5 * 4 = 20 (м) - столько ткани было в куске (4/4=1).
4,6(23 оценок)
Ответ:
iekatierina1
iekatierina1
03.11.2021
«Золотое правило нравственности» — общее этическое
правило, которое можно сформулировать как «Относись к
людям так, как хочешь, чтобы относились к тебе». Известна и
отрицательная формулировка этого правила: «не делайте
другим того, чего не хотите себе».
Золотое правило нравственности издревле известно в
религиозных и философских учениях Востока и Запада, лежит
в основе многих мировых религий : авраамических ,
дхармических, конфуцианства и античной философии [1] и
является основополагающим мировым этическим принципом.
Виды золотого правила
Являясь выражением некоторого общефилософского и
морального закона, золотое правило в различных культурах
может иметь различные виды. Учеными и философами были
предприняты попытки классифицировать формы золотого
правила по этическим или социальным признакам.
Мыслитель Xристиан Томазий выделяет три формы «золотого
правила», разграничивая сферы права, политики и морали,
называя их соответственно принципами права (justum),
приличия (decorum) и уважения (honestum):
принцип права требует, чтобы человек не делал никому
другому того, чего он не желает, чтобы другой сделал ему;
принцип приличия состоит в том, чтобы делать другому то,
чего он желает, чтобы другой сделал ему;
принцип уважения предполагает, чтобы человек поступал
так, как он желал бы, чтобы поступали другие.
Можно заметить два аспекта правила:
отрицательный (отрицающий зло) «не делай…»;
положительный (позитивный, утверждающий добро)
«делай…».
Русский философ В. С. Соловьев называл первый
(отрицательный) аспект «золотого правила» — «правилом
справедливости», а второй (положительный, Христов) —
«правилом милосердия»[2] .
Западногерманский профессор XX века Г. Райнер также
выделяет три формулировки «золотого
правила» (перекликающиеся с трактовками Христиана
Томазия и В. С. Соловьева) [3] :
правило вчувствования ( Ein-fuhlungsregel ): «(не) делай
другому то, что (не) желаешь себе»;
правило автономности ( Autonomieregel): «(не) делай сам
того, что ты находишь (не)похвальным в другом»;
правило взаимности ( Gegenseitigkeitsregel ): «как вы (не)
хотите, чтобы по отношению к вам поступали люди, (не)
поступайте так же и вы по отношению к ним».
4,8(23 оценок)
Это интересно:
Полный доступ к MOGZ
Живи умнее Безлимитный доступ к MOGZ Оформи подписку
logo
Вход Регистрация
Что ты хочешь узнать?
Спроси Mozg
Открыть лучший ответ