
Пошаговое объяснение:

Сумма корней: 
Если в цилиндре осевое сечение - квадрат, то радиус основания в два раза меньше образующей. Образующая цилиндра равна высоте.
Как и сказала, радиус основания = 1/2 * 14 см = 7 см.
А объём цилиндра равен произведению площади основания на высоту.
То есть :
V(цилиндра) = (7 см)²*14 см*π = 686 см³*π.
ответ : 686 см³*π.Задача №3.Брусок имеет форму прямоугольного параллелепипеда.
Находим объём чугунного бруска. Он равен произведению трёх его измерений :
V(чугунного бруска) = 5,5 см*20 см*40 см = 4400 см³.
А массу найдём по этой формуле :
m = p*V
Где m - масса тела, p - плотность вещества, из которого изготовлено тело, V - объём тела.
Подставляем и считаем :
m = (7,5 г/см³) * 4400 см³ = 33000 г = 33 кг.
ответ : 33 кг.
Если в цилиндре осевое сечение - квадрат, то радиус основания в два раза меньше образующей. Образующая цилиндра равна высоте.
Как и сказала, радиус основания = 1/2 * 14 см = 7 см.
А объём цилиндра равен произведению площади основания на высоту.
То есть :
V(цилиндра) = (7 см)²*14 см*π = 686 см³*π.
ответ : 686 см³*π.Задача №3.Брусок имеет форму прямоугольного параллелепипеда.
Находим объём чугунного бруска. Он равен произведению трёх его измерений :
V(чугунного бруска) = 5,5 см*20 см*40 см = 4400 см³.
А массу найдём по этой формуле :
m = p*V
Где m - масса тела, p - плотность вещества, из которого изготовлено тело, V - объём тела.
Подставляем и считаем :
m = (7,5 г/см³) * 4400 см³ = 33000 г = 33 кг.
ответ : 33 кг.
ответ:0
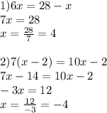
6х=28-х
6х+х=28
7х=28
х=28:7
х=4
7(х-2)=10х-2
7х-14=10х-2 10х-7х=2-14
3х=-12
х=-12:3
х=-4
-4+4=0
Пошаговое объяснение: