Вход
Регистрация
Спроси Mozg AI
М
Молодежь
К
Компьютеры-и-электроника
Д
Дом-и-сад
С
Стиль-и-уход-за-собой
П
Праздники-и-традиции
Т
Транспорт
П
Путешествия
С
Семейная-жизнь
Ф
Философия-и-религия
Б
Без категории
М
Мир-работы
Х
Хобби-и-рукоделие
И
Искусство-и-развлечения
В
Взаимоотношения
З
Здоровье
К
Кулинария-и-гостеприимство
Ф
Финансы-и-бизнес
П
Питомцы-и-животные
О
Образование
О
Образование-и-коммуникации
.....больше.....
..меньше..
German1224
17.06.2020 14:35 •
Математика
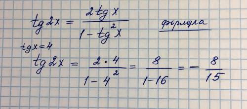
Вычисли tg2x, зная, что tgx=4.
👇
Увидеть ответ
Ответ:
nikitasonar
17.06.2020
Пошаговое объяснение:
.............................
4,6
(82 оценок)
Открыть все ответы
Ответ:
dilnuscha
17.06.2020
Дано:
Смотрел детские разные всех=1ч
Мультики от разных всех=25% времени
Смотрел Концерт После мультика = 2/5частей времени остатка=? Минут
1час =60мин;
Все передачи =1ч=60мин и это 100% времени
1))100%-25%=75% времени остаток;
2)) 60:100%•75%= 45минут остаток времени
Концерт 2/5, значит всех частей остатка 5, а 2 из них концерт.
3)) 45: 5•2= 9•2=18минут смотрел концерт
Или так 1)) 60:100%•25%=15мин мультики;
2)) 60-15=45мин остаток
3)) 45:5•2=18мин концерт
ответ: концерт Петя смотрел 18минут.
4,8
(66 оценок)
Ответ:
Абухассан
17.06.2020
Дано:
Смотрел детские разные всех=1ч
Мультики от разных всех=25% времени
Смотрел Концерт После мультика = 2/5частей времени остатка=? Минут
1час =60мин;
Все передачи =1ч=60мин и это 100% времени
1))100%-25%=75% времени остаток;
2)) 60:100%•75%= 45минут остаток времени
Концерт 2/5, значит всех частей остатка 5, а 2 из них концерт.
3)) 45: 5•2= 9•2=18минут смотрел концерт
Или так 1)) 60:100%•25%=15мин мультики;
2)) 60-15=45мин остаток
3)) 45:5•2=18мин концерт
ответ: концерт Петя смотрел 18минут.
4,5
(32 оценок)
Это интересно:
Ф
Финансы-и-бизнес
23.03.2020
Как рассчитать годовой доход в процентах по банковскому сберегательному счету...
С
Стиль-и-уход-за-собой
10.02.2023
Как приготовить натуральное средство от запаха ног...
С
Стиль-и-уход-за-собой
25.03.2020
Хипстерская борода: как вырастить и ухаживать...
З
Здоровье
30.08.2021
Как вылечить герпес в домашних условиях: продукты, которые помогут держать болезнь под контролем...
О
Образование-и-коммуникации
25.04.2021
Векторная кинематика: как рассчитать пройденное расстояние...
Ф
Философия-и-религия
01.09.2022
Как найти счастье в жизни: советы от психологов...
К
Компьютеры-и-электроника
29.05.2022
Как подключить телевизор Samsung к беспроводной сети:...
К
Компьютеры-и-электроника
24.04.2023
10 простых способов, как достать сияющего покемона...
З
Здоровье
23.01.2022
Симуляция головной боли: как это возможно и зачем это нужно?...
С
Семейная-жизнь
23.03.2022
Как заключить брак во Флориде: все, что нужно знать...
Новые ответы от MOGZ: Математика
Настя3546955
30.01.2022
Назовите инструмент, под звучание которого исполняли былины: рожок гусли...
VladIslaV231678
30.01.2022
Доклад на тему лыжный спорт 2 класс...
leradolgolenko
30.01.2022
За завтраком съели 3/8 торта,за обедом съели 5/8 торта.весь ли съели торт...
poli148
30.01.2022
Сравните числа: -5,2 и - 3,7; -5/7 и -6/7; -3 1/2 и -1; -3/4 и -7/8. и напишите решение...
1Алексей123451
30.01.2022
Сторона квадрата 9см. чему равен его периметр?...
xzc999
30.01.2022
Неверно,что 40 делится на 5 или на 10. истинно или ложно это высказывание? !...
Blink11
28.06.2020
Напишите уравнение к : у кости было 354рубля. он купил 3 одинаковых поплавка и получил сдачу: 84рубля. сколько стоит 1поплавок?...
programprogram
28.06.2020
Если m и n натуральные числа и 5m плюс n равно 33. каким может быть...
scvdnl
28.06.2020
36 досок когда несколько досок взяли на ремонт сарая осталось 27 досок во сколько раз больше осталось досок чем израсходовали на сколько меньше досок израсходовали чем...
xile4t
28.06.2020
Как решить в первый день грузовик проехала 2/5 всего пути а во второй1/5 пути больше в какой день грузовик доехал да назначения? какую часть пути он проехал за этидва...
MOGZ ответил
решить хочу разобраться (107)...
Молекклярная кристалическая решётка характерна для: 1)графика 2) хлороводород...
У містечку усіх чоловіків жонаті ,а усіх жінок заміжні .яка частка...
Камень массой 100 г падает с высоты 2 м. Какая кинетическая энергия...
Напишите страны и участники в Крымской войне 1853-1856 Буду очень...
Сколько золота, имеющего температуру 300 градусов, можно расплавить,...
Первичная структура белка А) спираль б) последовательное соединение...
Сочинение по капитанской дочке милосердия...
Скільки існує трицифрових чисел сума яких дорівнюе КТО СКЕЖЕТ ТОМУ...
В какие две группы можно обьединить слова? (Русский язык стр. 83 упр....
Полный доступ к MOGZ
Живи умнее Безлимитный доступ к MOGZ
Оформи подписку
О НАС
О нас
Блог
Условия пользования
Авторское право
Политика конфиденциальности
Предпочтения cookie-файлов
ПОМОЩЬ
Зарегистрируйся
Центр помощи
Центр безопасности
App
Вход
Регистрация
Что ты хочешь узнать?
Спроси Mozg
Открыть лучший ответ
Пошаговое объяснение:
.............................