
ответ: 
Определим ответ для следующих уравнений.
15 - x = 8.
Определим х.
Х = 15 - 8 = 7.
Корень уравнения равен 7.
13 - х = 7.
Определим х.
Х = 13 - 7 = 6.
Корень данного уравнения равен 6.
x + 40 = 47.
Определим х.
Х = 47 - 40 = 7.
ответ равен 7.
21 - x = 20.
Определим х.
Х = 21 - 20 = 1.
ответ равен 1.
14 - x = 7.
Определим х.
Х = 14 - 7 = 7.
ответ равен 7.
17 - x = 10.
Определим х.
Х = 17 - 10 = 7.
ответ равен 7.
15 - x = 5.
Определим х.
Х = 15 - 5 = 10.
ответ равен 10.
16 - x = 9.
Определим х.
Х = 16 - 9 = 7.
ответ равен 7.
27 - x = 20.
Определим х.
Х = 27 - 20 = 7.
ответ равен 7.
Пошаговое объяснение:
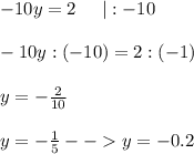
-0.2
Пошаговое объяснение:
делим обе части на -10 получаем ответ