М
Молодежь
К
Компьютеры-и-электроника
Д
Дом-и-сад
С
Стиль-и-уход-за-собой
П
Праздники-и-традиции
Т
Транспорт
П
Путешествия
С
Семейная-жизнь
Ф
Философия-и-религия
Б
Без категории
М
Мир-работы
Х
Хобби-и-рукоделие
И
Искусство-и-развлечения
В
Взаимоотношения
З
Здоровье
К
Кулинария-и-гостеприимство
Ф
Финансы-и-бизнес
П
Питомцы-и-животные
О
Образование
О
Образование-и-коммуникации
lopkin
lopkin
31.03.2021 04:59 •  Математика

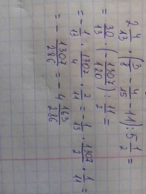
2 целых 4/13 умножить на ( 3/8 минус 4/15 минус 11) разделить на 5 целых 1/2

👇
Ответ:
Alexa9711
Alexa9711
31.03.2021

Пошаговое объяснение:


2 целых 4/13 умножить на ( 3/8 минус 4/15 минус 11) разделить на 5 целых 1/2
4,4(18 оценок)
Открыть все ответы
Ответ:
kobyarova2001
kobyarova2001
31.03.2021
Я патриот своей страны? Я готов это доказывать не словами а делами. в России живут немало людей разных национальностей, разных религий, разных культур. Но тем не менее среди столь большого народонаселения нашей страны есть немало людей которые могут сказать Я патриот своей страны! И причём все настоящие патриоты готовы не только говорить об этом но и что-то сделать для этого. Например Патриот всегда будет стремиться к развитию родного языка, родной культуры, к улучшению жизни в родной стране он будет делать всё что зависит от него. Также Патриот всегда будет стараться распространять свою культуру, свой язык, свои традиции, и свои обычаи в других странах запятая что еще значит это слово Патриот? Патриот если не дай Бог случится война готов пойти на смерть ради своей родины он готов отдать жизнь за свою родную страну, не жалея своего живота. Итак Я патриот, Я люблю свою страну, я знаю гимн, флаг, герб язык, традиции и обычаи моей страны, я могу При желании распространять культуру моей страны за границей, Если будет нужно я смогу отдать жизнь за мою родную страну.
4,5(43 оценок)
Ответ:
ВадимСап
ВадимСап
31.03.2021
Производительность бригады — это количество человек умноженное на кол-во дней, значит:
производительность 1 бригады = 15 чел* 8 дней = 120 чел*дн;
производительность 2 бригады = 13 чел *8 дней = 104чел*дн.
После ухода людей из первой бригады во вторую обе бригады работали x дней:
 
Кол-во человек в новой второй бригаде: 13+2=15 человек, значит:
производительность новой 2 бригады =15*x чел*дн;
Кол-во человек в первой новой бригаде 15-2=13 человек, значит:
производительность новой 1 бригады 13*x чел*дн.
 
Зная, что все рабочие одинаковой квалификации, приравняем работы первых и вторых бригад:
120+15х=104+13х/2х=16/х=8
Значит, на выполнение второй части работы потребовалось 8 дней. Но они еще до этого работали 8 дней, значит, всего 16 дней.
4,5(22 оценок)
Новые ответы от MOGZ: Математика
logo
Вход Регистрация
Что ты хочешь узнать?
Спроси Mozg
Открыть лучший ответ