М
Молодежь
К
Компьютеры-и-электроника
Д
Дом-и-сад
С
Стиль-и-уход-за-собой
П
Праздники-и-традиции
Т
Транспорт
П
Путешествия
С
Семейная-жизнь
Ф
Философия-и-религия
Б
Без категории
М
Мир-работы
Х
Хобби-и-рукоделие
И
Искусство-и-развлечения
В
Взаимоотношения
З
Здоровье
К
Кулинария-и-гостеприимство
Ф
Финансы-и-бизнес
П
Питомцы-и-животные
О
Образование
О
Образование-и-коммуникации
mrzus
mrzus
29.04.2020 16:59 •  Математика

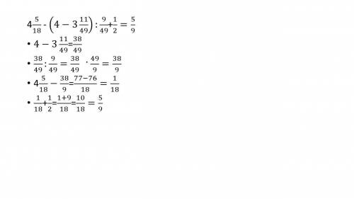
Найди значение выражения: 4 5/18−(4−3 11/49):9/49+1/2

👇
Ответ:
bogoslowskaia
bogoslowskaia
29.04.2020

Пошаговое объяснение:


Найди значение выражения: 4 5/18−(4−3 11/49):9/49+1/2
4,5(31 оценок)
Открыть все ответы
Ответ:
alexeremka
alexeremka
29.04.2020

1.our friends were thought by us all time 

2.he will be operated by the doctor in a week

3.the pupil's parents were sent for by the teacher 

4.the newspaper was looked for by them everywhere

5.nobody was slept in the bed 

6. the telegram was asked for by the neghbor 

7. the lecturer was listened to by everybody with great attention

8. the freshman was laughted at by the senior students 

9. the headmistress was spoken by the group yesterday

10. their   babies   were looked after by the young mothers with great care 

4,7(46 оценок)
Ответ:
askerovaa1
askerovaa1
29.04.2020

1) чувствовать себя на седьмом небе от счастья -  выражают высшую степень радости, счастья, блаженства.

2)  воевать с ветряными мельницами -  расходовать силы на борьбу с воображаемым или не стоящим внимания противником.

3)  наклеивать ярлыки - давать кому-либо поверхностную, поспешную оценку.

4)  затрагивать за живое - начать говорить о больной теме.

5)  испытывать судьбу - подвергать себя необдуманному риску, опасности.

6)  прокладывать себе дорогу в жизнь - добиваться самому разных достижений в жизни.

4,6(48 оценок)
Это интересно:
Новые ответы от MOGZ: Математика
logo
Вход Регистрация
Что ты хочешь узнать?
Спроси Mozg
Открыть лучший ответ