М
Молодежь
К
Компьютеры-и-электроника
Д
Дом-и-сад
С
Стиль-и-уход-за-собой
П
Праздники-и-традиции
Т
Транспорт
П
Путешествия
С
Семейная-жизнь
Ф
Философия-и-религия
Б
Без категории
М
Мир-работы
Х
Хобби-и-рукоделие
И
Искусство-и-развлечения
В
Взаимоотношения
З
Здоровье
К
Кулинария-и-гостеприимство
Ф
Финансы-и-бизнес
П
Питомцы-и-животные
О
Образование
О
Образование-и-коммуникации
денис20062002
денис20062002
19.10.2022 14:33 •  Математика

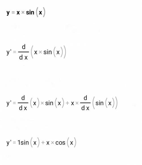
Найдите производную функции у = х Sinх.

👇
Ответ:

Пошаговое объяснение:

у = х sin х


Найдите производную функции у = х Sinх.
4,4(67 оценок)
Открыть все ответы
Ответ:
dana0550
dana0550
19.10.2022
Произведем вычисления с известными числами.
2748,2-639 = 2109,2
10×3,99(143,59-141,9) = 39,9*1,69 = 67,431
2734-3,7×143,59 = 2734 - 531,283 = 2202,717
2732,4-584,77 = 2147,63
10×4,1(128,17-143,59) = 41*(-15,42) = -632,22
2712,6-3,7×128,17 = 2712,6 - 474,229 = 2238,371
2710,9-517,7 = 2193,2
3,5(106,83-128,17) = 3,5*(-21,34) = -74,69
2666,7-3,7×128,17 = 2666,7 - 474,229 = 2192,471
Получаем уравнения:
Q1 = Gr1*2109,2 = 1,03*(67,431 + W1*2202,717)
Q2 = W1*2147,63 = 1,03*(W1*(-632,22) + W2*2238,371)
Q3 = W2*2193,2 = 1,03*((10*W1 - W2)*(-74,69) + W3*2192,471)
Раскрываем скобки
Q1 = Gr1*2109,2 = 69,45393 + W1*2268,79851
Q2 = W1*2147,63 = -W1*651,1866 + W2*2305,52213
Q3 = W2*2193,2 = -W1*769,307 + W2*76,9307 + W3*2258,24513
Забудем пока про Q, найдем остальное. Приводим подобные
Gr1*2109,2 = 69,45393 + W1*2268,79851
W1*2798,8166 = W2*2305,52213
W2*2116,2693 + W1*769,307 = W3*2258,24513
Подставляем 2 уравнение в 3 уравнение
Gr1*2109,2 = 69,45393 + W1*2268,79851
W1*2798,8166/2305,52213 = W2
W1*2798,8166/2305,52213*2116,2693 + W1*769,307 = W3*2258,24513
Упрощаем 3 уравнение
Gr1*2109,2 = 69,45393 + W1*2268,79851
W2 = W1*2798,8166/2305,52213 
W1*3338,37783 = W3*2258,24513
Получаем
W1 = (Gr1*2109,2 - 69,45393)/2268,79851 = Gr1*0,929655 - 0,03061
W2 = 1,214*W1 = Gr1*1,1286 - 0,037164
W3 = W1*3338,37783/2258,24513 = W1*1,4783 = Gr1*1,37431 - 0,04525
Q1 = Gr1*2109,2
Q2 = W1*2147,63 = Gr1*1996,555 - 65,739
Q3 = W2*2193,2 = Gr1*2475,24552 - 81,5081
Таким образом, Gr1 может быть каким угодно.
Остальные переменные получаются из него.
4,6(20 оценок)
Ответ:
Dabby1
Dabby1
19.10.2022
Характерной чертой искусства охотничьих племен ацтеков было поклонение богам. Сохранившиеся легенды и предания рассказыва­ют о многочисленных походах и кровавых сражениях этого воинст­венного народа, прежде чем он создал могущественную империю с высоко развитой культурой. Главным местом поклонения богам были храмы, которых к началу завоевания цивилизации ацтеков испанцами в XVI в. насчитывалось более 40 тысяч.

    Особенно поражала своим великолепием столица ацтеков Теночтитлан(«плодовое дерево, растущее из камня»), располагавшаяся на месте современной столицы Мексики Мехико (по имени главного бога войны — Мехитли). Центр города был построен на острове посреди живописного озера, его окружали по­стройки на сваях и дамбах, перерезанных каналами. В случае опасности поднимали перекинутые через ка­налы мосты, и город превращался в неприступную кре­пость. Увы, Теночтитлан не избежал печальной участи: в начале XVI в. «озерная Венеция» была разрушена испанскими завоевателями — конкистадорами.

  Об архитектуре ацтеков известно очень мало, так как многие сооружения были разрушены или пол­ностью перестроены. Сведения о них сохранились лишь в описаниях испанских очевидцев. Известно, что в центре Теночтитлана находились три дворца ац­текских правителей и главный храм бога войны. На вершине ступенчатой пирамиды были возведены два небольших деревянных храма.

   Особого расцвета достигла ацтекская скульпту­ра. Монументальные статуи божеств носят абстракт­ный и условный характер. В качестве примера можно привести огромную статую Коатликуэ- богини зем­ли, смерти и весеннего плодородия - матери верховно­го божества войны. Эта статуя лишь отдаленно напо­минает человеческую фигуру: у нее нет ни лица, ни головы, ни рук, ни ног. Она выполнена из различных материалов: кукурузных початков, когтей и клыков ягуаров, человеческих черепов и ладоней, перьев, из­вивающихся змей, лап орлов. Все это нагромождение различных предметов строго симметрично и уравно­вешенно. 
Иной характер носят погребальные маски ац­теков, реалистично отражающие черты лица за­хороненного. Примечательна в этом отношении ба­зальтовая голова «воина-орла», в которой мастерски передано волевое лицо молодого воина.

 Привлекают внимание и произведения мелкой пластики: граци­озные статуэтки присевшего на задние лапы испуган­ного кролика, свернувшейся клубком змеи, пригото­вившегося к прыжку кузнечика, курительные труб­ки, украшенные сидящей фигурой бога огня. 
Немногочисленные сохранившиеся произведения ювелирного искусства  поражают своим мастерством. Ожерелья, подвески, серьги, нагрудные пластины от­личаются изяществом исполнения и тонкостью моде­лировки. Вот как описывал ювелирное мастерство ацтеков один из очевидцев: 

«Они могут отлить птицу с движущимся языком, головою и крыльями или отлить обезьяну или другое животное с подвижным языком, головой, и но­гами, и руками, а в руки вложить игрушку, так что кажется, что она танцует с нею. Более того, они берут слиток, по­ловина которого из золота, а половина — из серебра, и отливают рыбу со всеми ее чешуйками, причем одна чешуйка золотая, а другая серебряная».
4,6(14 оценок)
Это интересно:
logo
Вход Регистрация
Что ты хочешь узнать?
Спроси Mozg
Открыть лучший ответ