or 
Пошаговое объяснение:
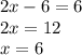
(2х-6)=6
2х=6+6
2х=12
х=6.
ответ:1.Северо-Кавказский экономический район имеет выход к морям: Черному, Азовскому, Каспийскому морям.
2. Северо-Кавказский экономический район граничит: с Центрально-Черноземным и Поволжским экономическими районами.
3. Северо-Кавказском районе главными видами природных ресурсов являются: агроклиматические, рекреационные.
4. Доля горожан в районе составляет (выберите наиболее близкий показатель): 55%.
5. Средняя плотность населения в экономическом районе составляет: 49 чел/км ².
6. В Северо-Кавказском экономическом районе отмечается: избыток трудовых ресурсов.
7.Главными отраслями специализации района являются: АПК.
8.Чай, табак, цитрусовые выращивают в районе: на Черноморском побережье.
9. Главные сельскохозяйственные культуры, выращиваемые в районе: пшеница, кукуруза, подсолнечник, виноград.
10.Восстановите цепочку причинно-следственных связей:благоприятные почвенно-климатические условия,развитие сельского хозяйства, многоотраслевая пищевая промышленность.
0 0
при х=4 выражение равно 3
8 6
12 9
16 12
20 15
24 18
28 21
32 24
36 27
40 30
выражение 3x/4 может быть равно 0, 3, 6, 9, 12, 15, 18, 21, 24, 27, 30.
Пошаговое объяснение: