М
Молодежь
К
Компьютеры-и-электроника
Д
Дом-и-сад
С
Стиль-и-уход-за-собой
П
Праздники-и-традиции
Т
Транспорт
П
Путешествия
С
Семейная-жизнь
Ф
Философия-и-религия
Б
Без категории
М
Мир-работы
Х
Хобби-и-рукоделие
И
Искусство-и-развлечения
В
Взаимоотношения
З
Здоровье
К
Кулинария-и-гостеприимство
Ф
Финансы-и-бизнес
П
Питомцы-и-животные
О
Образование
О
Образование-и-коммуникации
asim2001
asim2001
28.08.2020 13:24 •  Математика

Решите уравнения :
x+5+x=25
x−5x=25
x+5−x=25

👇
Ответ:
крик56
крик56
28.08.2020

Пошаговое объяснение:

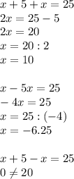
x+5+x=25\\2x=25-5\\2x=20\\x=20:2\\x=10\\\\x-5x=25\\-4x=25\\x=25:(-4)\\x=-6.25\\\\x+5-x=25\\0\neq 20\\

x∉R   ∅

4,4(66 оценок)
Открыть все ответы
Ответ:
Dobriyboy
Dobriyboy
28.08.2020
Молода дівчина на ім’я софі хаттер — старша з трьох сестер, які живуть в місті маркет-чиппинг. місто знаходиться в королівстві інгар, в якому магія є буденною справою. софі майстерно володіє голкою і в комірчині прикрашає капелюшки, несвідомо наділяючи їх душею. як старша з сестер, вона змирилася з тим, що не знайде своєї долі і буде приречена вести нудне життя господині капелюшного магазину. але зла відьма пустирищ перетворює її в стару, помилково прийнявши за сестру, до якої в той момент виявляв інтерес чарівник хаул. софі залишає свій магазин і йде з дому світ за очі. по дорозі софі несвідомо оживляє опудало, яке як з’ясується пізніше зачарувала відьма пустирищ. після довгої і виснажливої ​​дороги софі знаходить притулок в замку хаула, який відомий в її рідному місті як поїдач сердець молодих красивих дівчат. незабаром софі дізнається, що хаул, егоцентричний, зарозумілий і безчесний, в глибині душі є добрим (а також виключно обдарованим чарівником). його учень майкл на прохання хаула поширює чутки про кровожерливість хаула, щоб уникнути зайвої уваги, а також не виглядати занадто благородним в очах короля і тим самим уникнути зайвих обов’язків і відповідальності. вхідні двері в замок насправді є порталом, що відкривається в чотирьох різних місцях: у ходячого замку в пагорбах біля маркет-чиппинг, в прибережному місті портхевен, в столиці королівства кінгсбері і в рідному домі хаула в уельсі, де його знають під ім’ям хауел дженкінс . софі укладає угоду з кальцифером, ім демоном хаула: якщо софі розірвати договір кальцифера з хаулом, кальцифер поверне софі молодість. однак з’ясовується, що умови договору не можуть бути розкриті стороннім ні кальцифером, ні хаулом. софі намагається вгадати, які ці умови, а кальцифер підкидає їй підказки, які софі не розуміє. хаул дізнається, що на софі накладено закляття і потай від неї самої намагається усунути з посади, звертаючись за до інших чаклунів. коли спроби виявляються безуспішними, він приходить до висновку, що дівчина сама бажає залишатися старою. довідник цікавих фактів та корисних знань
4,6(1 оценок)
Ответ:
СашкаО
СашкаО
28.08.2020
Так называемый "собачий кайф" представляет из себя перекрытие сонных артерий на шее. возникает временная гипоксия мозга (нехватка кислорода), приводящая вначале к эйфории, галлюцинациям, а затем и к обмороку. обморок кратковременный, и пробуждение после него возникает в течение нескольких минут. такой способ получения удовольствия весьма распространен среди детей.испытуемый садится на корточки у стены и дышит быстро и часто "как собака" в течение 30-45 секунд. после чего резко встает, а его начинает надавливать с силой на шею шарфом или руками до потери сознания испытуемого. в этот момент испытуемый "отключается" и падает на пол. 
4,4(19 оценок)
Это интересно:
Новые ответы от MOGZ: Математика
logo
Вход Регистрация
Что ты хочешь узнать?
Спроси Mozg
Открыть лучший ответ