М
Молодежь
К
Компьютеры-и-электроника
Д
Дом-и-сад
С
Стиль-и-уход-за-собой
П
Праздники-и-традиции
Т
Транспорт
П
Путешествия
С
Семейная-жизнь
Ф
Философия-и-религия
Б
Без категории
М
Мир-работы
Х
Хобби-и-рукоделие
И
Искусство-и-развлечения
В
Взаимоотношения
З
Здоровье
К
Кулинария-и-гостеприимство
Ф
Финансы-и-бизнес
П
Питомцы-и-животные
О
Образование
О
Образование-и-коммуникации
Yuntsev
Yuntsev
14.07.2022 18:03 •  Математика

Определите координаты центра сферы и радиус, если дано уравнение сферы:
x^2-2x+y^2-2y+z^2-2z-6=0.
Центр О( ? ; ? ; ? )
R=?

👇
Ответ:
Versusmag228
Versusmag228
14.07.2022

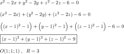
x^2-2x+y^2-2y+z^2-2z-6=0\\\\(x^2-2x)+(y^2-2y)+(z^2-2z)-6=0\\\\\Big((x-1)^2-1\Big)+\Big(y-1)^2-1\Big)+\Big((z-1)^2-1\Big)-6=0\\\\\boxed {(x-1)^2+(y-1)^2+(z-1)^2=9}\\\\O(1;1;1)\; ,\; \; R=3

4,7(81 оценок)
Открыть все ответы
Ответ:
Для округления числа до определенного разряда, во все младшие разряды записать нули, при этом оценить предыдущий по отношению к тому по которому округляют. Если в предыдущем разряде стоит цифра 5,6,7,8 или 9, то в разряд по которому происходит округление прибавляется единица, если же стоит цифра 0,1,2,3 или 4, то все остальные разряды просто переписываются.
Например 135, при округлении до десятков дает 140  (десятки увеличиваем на единицу, т.к. в единицах цифра 5)
а при округлении до сотен получается 100 (в десятках цифра три, значит в разряды ниже сотен записываем нули, а сотни оставляем как есть).

1) 73 650- до десятков    73 600 -до сотен  74 000 -до тысяч 70 000- до десятков тысяч.

2) 57 030 - до десятков 57 000 - до сотен  57 000 - до тысяч  60 000 до десятков тысяч.

3) 1250 - до десятков  1200- до сотен  1000 - до тысяч.

4) 4680- до десятков  4700- до сотен   5000 - до тысяч.
4,7(80 оценок)
Ответ:
alina1427
alina1427
14.07.2022
Скорость течения реки: v₀ = S/t₀ = 72 : 18 = 3 (км/ч)
Так как теплоход км за 3 часа, то его скорость плюс скорость течения реки составит:
                                            v = v₁ + v₀ = S/t₁ = 72/3 = 24 (км/ч)
 и собственная скорость теплохода:
                                           v₁ = v - v₀ = 24 - 3 = 21 (км/ч)
При движении против течения реки, скорость перемещения теплохода будет меньше на скорость течения реки:
                                           v₂ = v₁ - v₀ = 21 - 3 = 18 (км/ч)
Расстояние в 72 км против течения реки теплоход пройдет за:
                                           t₂ = S/v₂ = 72/18 = 4 (ч)
4,5(63 оценок)
Это интересно:
Новые ответы от MOGZ: Математика
logo
Вход Регистрация
Что ты хочешь узнать?
Спроси Mozg
Открыть лучший ответ