М
Молодежь
К
Компьютеры-и-электроника
Д
Дом-и-сад
С
Стиль-и-уход-за-собой
П
Праздники-и-традиции
Т
Транспорт
П
Путешествия
С
Семейная-жизнь
Ф
Философия-и-религия
Б
Без категории
М
Мир-работы
Х
Хобби-и-рукоделие
И
Искусство-и-развлечения
В
Взаимоотношения
З
Здоровье
К
Кулинария-и-гостеприимство
Ф
Финансы-и-бизнес
П
Питомцы-и-животные
О
Образование
О
Образование-и-коммуникации
vuqaredilov2007
vuqaredilov2007
25.09.2021 21:09 •  Математика

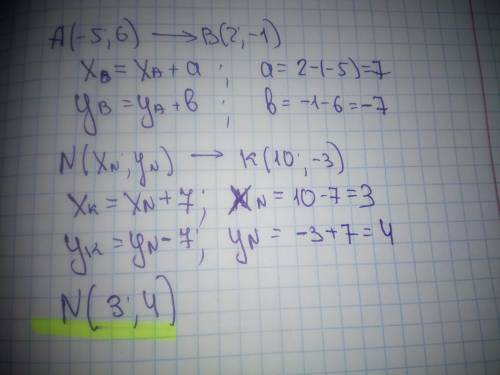
При паралельному перенесенні точка А (-5; 6) переходить у точку B (2; -1). Які координати маєточка, яка переходить у точку К (10; -3) при цьому ж паралельному перенесенні?​

👇
Ответ:
dobryninatonya
dobryninatonya
25.09.2021

Відповідь: (3; 4)

Покрокове пояснення: фото


При паралельному перенесенні точка А (-5; 6) переходить у точку B (2; -1). Які координати маєточка,
4,4(87 оценок)
Открыть все ответы
Ответ:
pav9
pav9
25.09.2021
А) 690:3*205-47150+850 = 850
Б) (238 145-237 776):41+327:3*7 = 772
В) 10000-120*80+(900-750:25)*7 = 6460

А) 690:3*205-47150+850=850
1) 690 : 3 = 230
2) 230 * 205 = 47150
3) 47150 - 47150 = 0
4) 0 + 850 = 850
ответ: 850

Б) (238 145-237 776):41+327:3*7 = 772
1) 238 145 - 237 776 = 369
2) 369 : 41 = 9
3) 327 : 3 = 109
4) 109 * 7 = 763
5) 763 + 9 = 772
ответ: 772

В) 10000-120*80+(900-750:25)*7 = 6460
1) 750 : 25 = 30
2) 900 - 30 = 870
3) 870 * 7 = 6090
4) 120 * 80 = 9600
5) 10000 - 9600 = 400
6) 6090 + 400= 6460
ответ: 6460
4,6(7 оценок)
Ответ:
giunel041
giunel041
25.09.2021

Старинная легенда, монастырская келья ( признак заимствования сочетание букв ГЕ и КЕ в корне слова)

Заполненный бюллетень (признак заимствования - удвоенная ЛЛ в

корне или сочетание букв БЮ).

Городская администрация, пассажирская авиация (признак заимствования - буква А в начале слова).

Последний этаж (признак заимствования - буква Э в корне слова)

Стеклянный графин (признак заимствования - буква Ф в слове).

Овощная диета, почетный караул (признак заимствования - сочетание двух гласных ИЕ и АУ в корне).

4,4(75 оценок)
Это интересно:
Новые ответы от MOGZ: Математика
logo
Вход Регистрация
Что ты хочешь узнать?
Спроси Mozg
Открыть лучший ответ