М
Молодежь
К
Компьютеры-и-электроника
Д
Дом-и-сад
С
Стиль-и-уход-за-собой
П
Праздники-и-традиции
Т
Транспорт
П
Путешествия
С
Семейная-жизнь
Ф
Философия-и-религия
Б
Без категории
М
Мир-работы
Х
Хобби-и-рукоделие
И
Искусство-и-развлечения
В
Взаимоотношения
З
Здоровье
К
Кулинария-и-гостеприимство
Ф
Финансы-и-бизнес
П
Питомцы-и-животные
О
Образование
О
Образование-и-коммуникации
ThePud
ThePud
24.04.2022 02:28 •  Математика

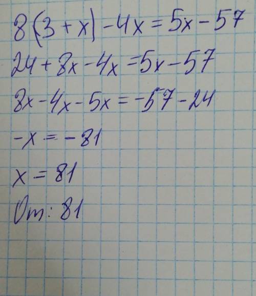
Не могу понять как это решать. 8*(3+x) -4x=5x-57

👇
Ответ:
13angelob
13angelob
24.04.2022

Пошаговое объяснение:

8⋅(3+x)−4x=5x−63

24+8х-4х-5х=-63

-х=-63-24

-х=-87

х=87

4,5(3 оценок)
Ответ:
19729ром
19729ром
24.04.2022

Оценку 5 гарантирую................................


Не могу понять как это решать. 8*(3+x) -4x=5x-57
4,5(35 оценок)
Открыть все ответы
Ответ:
SeyshellaGoa
SeyshellaGoa
24.04.2022
1.Основную часть гидросферы составляют воды: 
г) Мирового океана. 

2. Как называются участки суши, глубоко вдающиеся в океан? 
а) полуострова;
 
3. Соленость воды в океане зависит от: 
г) все выше перечисленное. 

4. В чем измеряют соленость морской воды?
б) в промилле; 

5. Как изменяется температура поверхностных вод океана? 
в) при удалении от экватора понижается; 

6. Какие волны возникают при землетрясении в океане? 
г) цунами. 

7. Что является причиной образования океанических течений? 
а) постоянные ветры; 

8. Как называются воды, содержащиеся в земной коре? 
б) подземные; 

9. Какое озеро самое большое по площади на Земле? 
г) Каспийское. 

10. Какой остров на Земле почти полностью покрыт ледником?
в) Гренландия; 
4,6(5 оценок)
Ответ:
ханито
ханито
24.04.2022
1)состоят из рыхлых и твердых горных пород.
2)Все минеральные вещества делятся на три группы – это макроэлементы , микроэле
менты и ультраэлементы 
3)по ряду внешних и внутренних признаков: окраске, форме, твердости, химическому составу.
4)горы разрушают жар и мороз, дождь и снег, вода и ветер, а также растения и животные
5)энергия Солнца «законсервирована», спрятана в недрах земли – остатках растенийСолнце отдаёт своё тепло растениям, растения отмирают и падают на дно болота, и там накапливается постепенно слой торфа. 
6)т.к. добывается из под земли
7)на дне водоемов образовались известняки, песчаники, глинистые сланцы, каменные и бурые угли, фосфориты и другие полезные ископаемые. Все они осадочного происхождения. в огне магматические - гранит, базальты, вулканическое стекло (обсидиан) , пемза.  Их прародительница – раскаленная магма, которая находится в глубинах нашей планеты
4,5(17 оценок)
Это интересно:
Новые ответы от MOGZ: Математика
logo
Вход Регистрация
Что ты хочешь узнать?
Спроси Mozg
Открыть лучший ответ