М
Молодежь
К
Компьютеры-и-электроника
Д
Дом-и-сад
С
Стиль-и-уход-за-собой
П
Праздники-и-традиции
Т
Транспорт
П
Путешествия
С
Семейная-жизнь
Ф
Философия-и-религия
Б
Без категории
М
Мир-работы
Х
Хобби-и-рукоделие
И
Искусство-и-развлечения
В
Взаимоотношения
З
Здоровье
К
Кулинария-и-гостеприимство
Ф
Финансы-и-бизнес
П
Питомцы-и-животные
О
Образование
О
Образование-и-коммуникации
haroldyush
haroldyush
25.12.2020 09:04 •  Математика

Произведение двух чисел равно 280,5 если один из множителей увеличить на 0,5 а другой оставить без изменения то произведение будет равно 297,5. Найди эти числа

👇
Ответ:
наталия147
наталия147
25.12.2020

Первое число 8,25, а второе число 34

Пошаговое объяснение:

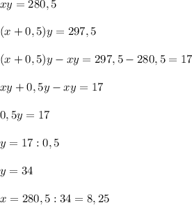
xy = 280,5\\\\(x+0,5)y = 297,5\\\\(x+0,5)y - xy = 297,5 - 280,5 = 17\\\\xy + 0,5y - xy = 17\\\\0,5y = 17\\\\y = 17 : 0,5\\\\y = 34\\\\x = 280,5 : 34 = 8,25

4,7(90 оценок)
Открыть все ответы
Ответ:
bayawb65
bayawb65
25.12.2020

привести дробные части этих чисел к наименьшему общему   знаменателю:

Пошаговое объяснение:

отдельно выполнить сложение целых частей и отдельно  дробных частей. Если при сложении дробных частей получилась  неправильная дробь, выделить целую часть из этой дроби и    прибавить ее к полученной целой части.

Чтобы выполнить вычитание смешанных чисел, надо:    

1) привести дробные части этих чисел к наименьшему общему знаменателю; если дробная часть уменьшаемого меньше дробной части вычитаемого, превратить ее в неправильную дробь,  уменьшив на единицу, целую часть

2) отдельно выполнить вычитание целых частей и отдельно дробных частей:  

4,4(57 оценок)
Ответ:
marisha1234567890e
marisha1234567890e
25.12.2020

привести дробные части этих чисел к наименьшему общему   знаменателю:

Пошаговое объяснение:

отдельно выполнить сложение целых частей и отдельно  дробных частей. Если при сложении дробных частей получилась  неправильная дробь, выделить целую часть из этой дроби и    прибавить ее к полученной целой части.

Чтобы выполнить вычитание смешанных чисел, надо:    

1) привести дробные части этих чисел к наименьшему общему знаменателю; если дробная часть уменьшаемого меньше дробной части вычитаемого, превратить ее в неправильную дробь,  уменьшив на единицу, целую часть

2) отдельно выполнить вычитание целых частей и отдельно дробных частей:  

4,6(26 оценок)
Это интересно:
Новые ответы от MOGZ: Математика
logo
Вход Регистрация
Что ты хочешь узнать?
Спроси Mozg
Открыть лучший ответ