М
Молодежь
К
Компьютеры-и-электроника
Д
Дом-и-сад
С
Стиль-и-уход-за-собой
П
Праздники-и-традиции
Т
Транспорт
П
Путешествия
С
Семейная-жизнь
Ф
Философия-и-религия
Б
Без категории
М
Мир-работы
Х
Хобби-и-рукоделие
И
Искусство-и-развлечения
В
Взаимоотношения
З
Здоровье
К
Кулинария-и-гостеприимство
Ф
Финансы-и-бизнес
П
Питомцы-и-животные
О
Образование
О
Образование-и-коммуникации
marcella6112000
marcella6112000
15.01.2023 14:13 •  Математика

Очень Раскройте скобки и найдите значение выражение :
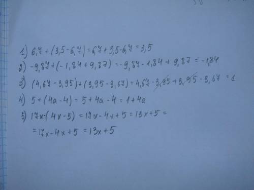
1)6,7+(3,5-6,7)=6,7+3,5-6,7=3,5
2)-9,87+(-1,84+9,87)=-9,87-1,84+9,87=-1,84
3)(4,67-3,95)+(3,95-3,67)=4,67-3,95+3,95-3,67=1
4)5+(4а-4)=5+4а-4=1+4а
5)17x-(4x-5)=17x-4x+5=13x+5

👇
Ответ:
toklike
toklike
15.01.2023

Пошаговое объяснение:


Очень Раскройте скобки и найдите значение выражение : 1)6,7+(3,5-6,7)=6,7+3,5-6,7=3,5 2)-9,87+(-1,8
4,5(66 оценок)
Открыть все ответы
Ответ:
missasha04
missasha04
15.01.2023
Утвержения, которые выводятся непосредственно из теорем или аксиом называется следствием.
Докажем следствие 1 аксиомы параллельных прямых.
Рассмотрим данное следствие на примере двух параллельных прямых а и b, и прямой, пересекающей одну из этих прямых.
Воспользуемся методом доказательства от противного. Предположим, что прямая, пересекающая одну из двух данных параллельных прямых - не пересекает другую, а это значит, что из одной точки выходит две прямые, параллельные данной. Мы получили противоречие аксиоме параллельных прямых, поэтому следствие верно.
4,6(90 оценок)
Ответ:
Behruz2008
Behruz2008
15.01.2023
Биосфера — оболочка земли, в пределах которой существует жизнь.
Состоит из биотических и абиотических компонентов природы.
Состав Биосферы:
1) Нижняя часть.
2) Воды.
3) Донная плёнка.
4) Тонкий наземный слой.
5) Мощный подземный слой.
Условия существования Биосферы:
1. Достаточное количество кислорода (21%) и углекислого газа.
2. Достаточное количество света.
3. Достаточное количество жидкой воды.
4. Благоприятная температура.
5. Прожиточный минимум минеральных веществ.
6. Нормальная солёность среды.
Жизнь, как устойчивое планетарное явление, возможна лишь тогда, когда она имеет разные уровни. 
4,4(29 оценок)
Это интересно:
Новые ответы от MOGZ: Математика
Полный доступ к MOGZ
Живи умнее Безлимитный доступ к MOGZ Оформи подписку
logo
Вход Регистрация
Что ты хочешь узнать?
Спроси Mozg
Открыть лучший ответ