М
Молодежь
К
Компьютеры-и-электроника
Д
Дом-и-сад
С
Стиль-и-уход-за-собой
П
Праздники-и-традиции
Т
Транспорт
П
Путешествия
С
Семейная-жизнь
Ф
Философия-и-религия
Б
Без категории
М
Мир-работы
Х
Хобби-и-рукоделие
И
Искусство-и-развлечения
В
Взаимоотношения
З
Здоровье
К
Кулинария-и-гостеприимство
Ф
Финансы-и-бизнес
П
Питомцы-и-животные
О
Образование
О
Образование-и-коммуникации
melnushyk099
melnushyk099
06.12.2020 22:17 •  Математика

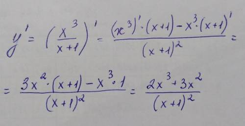
Найдите производную.
(х∧3/х+1)'

👇
Ответ:
missmarial2010
missmarial2010
06.12.2020

Решение на фото.........


Найдите производную. (х∧3/х+1)'
4,6(9 оценок)
Открыть все ответы
Ответ:
Teddy62711
Teddy62711
06.12.2020

a = 18 м - длина

b = 15 м - ширина

c = 8 м - высота

r =  500 г/м² - расход краски

m = 16 кг - масса упаковки

НАЙТИ

N = ? - число упаковок краски.

РЕШЕНИЕ

Красим  стены (ВМЕСТЕ С ОКНАМИ).

Боковая поверхность параллелепипеда по формуле:

S = 2*(a*c+ b*c) = 2*c*(a+b)

Вычисляем:

S = 2*8*(18+15) = 16*33 = 528 м² - площадь стен.

Находим массу краски по формуле

M = r*S = 0.5 кг/м² * 528 м² = 264 кг - нужно краски.

Находим число упаковок краски

N = M : m = 264 кг : 16 кг/уп = 16,5  ≈ 17 упаковок - ОТВЕТ

Подробнее - на -

Пошаговое объяснение:

4,8(61 оценок)
Ответ:
Kristina3002
Kristina3002
06.12.2020
Построить график функции
y=-3x^2 + 10x - 7

Дискриминант b^2-4ac = 100 -4 * -3 * -7 >0
Значит есть два корня, т.е. 2 точки пересечения графика с осью абсцисс.
Корни x1=1, x2=2.33
Область определения - все действительные числа
Графиком функции y=ax^2+bx+c является парабола.
a=-3<0, следовательно у параболы ветви идут вниз
и есть максимум в точке x= 1+ (1+2.33)/2 = 1.67

функция возрастает при x (-oo..1.67) и убывает при x (1.67..+oo)
при x (1..2.33) график выше оси абсцисс
при x (-oo..1) v (2.33..+oo) ниже оси абсцисс

Таблица точек -x^2 + 4x - 3
 
x:  1  1.67  2  2.33
y:  0  1.33  1  0 

Найдите координаты точки пересечения графика функции y=-3x^2+10x-7 с осью ординат. у меня ничего не
4,6(97 оценок)
Новые ответы от MOGZ: Математика
logo
Вход Регистрация
Что ты хочешь узнать?
Спроси Mozg
Открыть лучший ответ