Иллюстрации к заданию - во вложении.
1. Ваня решил пройти на лыжах по лыжной трассе за день до соревнований, чтобы узнать ее мршрут.
Первые 2 километра он шел со скоростью 5 км/ч, потом, в году, шел 30 мин со скоростью 3 км/ч и, понявшись на гору, присел однохнуть на 10 мин, затеми продолжив идти с начальной скоростью до конца трассы за 30 мин.
a)Какова длина трассы?
б)За какое время Ваня ее
в) Сколько времени (в минутах) потребуется Ване, чтобы проийти трассу со скоростью 5 км в час?
Дано: S₁(2 км) - v₁(5 км/ч)
v₂(3 км/ч) - t₂(30 мин) - 30 мин=0.5 ч
v₃(5 км/ч) - t₃(30 мин)
t₄(15мин) - отдых 15 мин=0.25 ч
1. t₁=S₁/v₁=2/5=0.4 ч
2. S₂=v₂*t₂=3*0.5=1.5 км
3.S₃=v₃*t₃=5*0.5=2.5 км
а) S=S₁+S₂+S₃=2+1.5+2.5=6 км
б) t=t₁t₂+t₃+t₄=0.4+0.5+0.5+0.25=1.65 ч =>
0.65 ч=1.65*60=99 мин=1 ч 39 мин
в) S=6 км; v=5 км,ч; t=?
t=6/5=1.2 ч=72 мин
ответ: а) Длина трассы=6 км
б) Ваня трассу за 99 мин, 99мин=1 ч 39 мин
в) Если Ваня пойдет с постоянной скоростью 5 км/ч, то он проидет трассу за 72 мин
2. Чтобы добраться из поселка до турбазы, турист 1 часть пути проехал за 1 час на велосипеде, в гору со скоростью 200 м/мин, под гору, со скоростью 250 м/мин, 2 часть пути, через лес, ему пришлось еще час скакать верхом на лошади, а потом, пройти пешком по проселочной дороге, до турбазы еще пол часа.
а) Каково прасстояние от поселка до турбазы, и
б) сколько времени понадобилось на дорогу, если турист скакал на лошади со скоростью 12-15 км/ч, а шел пешком со скоростью от 3 до 5 км/ч, и ждал 45 мин, чтобы ему запрягли лошадь?
Дано: v₁=200-250 м/мин - t₁= 1 ч
v₂=12-15 км/ч - t₂= 1 ч
v₃=3-5 км/ч - t₃=30 мин=0.5 ч
t₄=45 мин=0.75 ч - Время, которое запрягали лошадь
Чтобы найти расстояние от поселка до турбазы, прежде всего нужно найти среднюю скорость туриста на каждом из 3-х этапов пути:
v₁=(200+250)/2=225 м/мин=225*60=13500 м/ч=13.5 км,ч
v₂=(12+15)/2=13.5 км/ч
v₃=(3+5)/2=4 км/ч
а)1 часть пути: S₁=13.5*1=13.5 км
2 часть пути: S₂=13/5*1=13.5 км
3 часть пути: S₃=4*0.5=2 км
S=S₁+S₂+S₃=13.5+13.5+2=29 км
б) t₁=1ч; t₂=1 ч; t₃=0.5 ч; t₄=0.75 ч
t=t₁+t₂+t₃+t₄=1+1+0.5+0.75=3.25 ч=3 25/60 ч=3 5/12 ч≈ 3ч 42 мин
ответ: а) расстояние от поселка до турбазы 29 км,
б) время, затраченное на весь путь 3.25 ч, или ≈3 ч 42 мин.
3.На загородном шоссе зафиксирована скорость движения различных видов транспорта в разное время суток.
Таблица:
Вид транспортного 10⁰⁰-12⁰⁰ 22⁰-24⁰⁰
средства
Легковой атомобиль 80 км/ч 60 км/ч
Грузовой автомобиль 80 км/ч 120 км/ч
Мотоцикл 70 км/ч 70 км/ч
Велосипед 250 м/мин 200 м/мин
Найти: а) Среднюю скорость транспорта в утренние часы,
б) Среднюю скорость транспорта в вечерние часы
в) На сколько уменьшается/увеличивается средняя
скорость транспорта в вечерние часы?
Вначале нужно вычислить скорость велосипеда в км/ч:
250-200 м/мин=
250*60 - 200*60 м/ч=
(250*60/1000 - 200*60/1000 км/ч=
15-12 км/ч
а) Средняя скорость транспорта в утренние часы:
(80+80+70+15)/4=61.25 км/ч
б) Средняя скорость транспорта в вечерние часы:
(60+120+70+12)/4=262/4=65.5 км/ч
в) 65.5-61.25=4.25 км/ч
ответ: а) Средняя скорость утром 61.25 км/ч.
б) Средняя скорость вечером 65.5 км/ч
в) в вечерние часы средняя скорость транспорта увеличивается на 4.25 км/ч
Задачи 4, 5 и 6 во вложении на


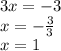
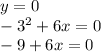
Найдём производную:
Теперь приравняем y=0
Сократим на 3:
И решаем:
Таким образом:
x=0 или x=1
Находим наибольшее значение функции, подставляя значения 1 и 0 в изначальное выражение вместо x:
Таким образом, мы получаем, что наибольшее значение функции будет в точке 1, а наименьшее в точке -1