М
Молодежь
К
Компьютеры-и-электроника
Д
Дом-и-сад
С
Стиль-и-уход-за-собой
П
Праздники-и-традиции
Т
Транспорт
П
Путешествия
С
Семейная-жизнь
Ф
Философия-и-религия
Б
Без категории
М
Мир-работы
Х
Хобби-и-рукоделие
И
Искусство-и-развлечения
В
Взаимоотношения
З
Здоровье
К
Кулинария-и-гостеприимство
Ф
Финансы-и-бизнес
П
Питомцы-и-животные
О
Образование
О
Образование-и-коммуникации
moskvina08
moskvina08
26.02.2020 19:47 •  Математика

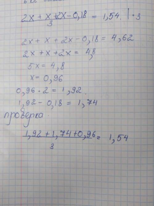
Среднее арифметическое трёх чисел 1,54. Первое число в 2 раза больше второго, а третье на 0,18 меньше второго. Найдите эти числа.

👇
Ответ:
ivan111111
ivan111111
26.02.2020

смотри ответ в закрепленном

Пошаговое объяснение:


Среднее арифметическое трёх чисел 1,54. Первое число в 2 раза больше второго, а третье на 0,18 меньш
4,6(58 оценок)
Открыть все ответы
Ответ:
Dima340
Dima340
26.02.2020

1) Шейный отдел позвоночника в связи со сложными движениями головы обладает значительной длиной и очень большой подвижностью. Подвижность обусловливается своеобразной формой позвонков, Которые имеют седлообразные сочленовные поверхности. Такие позвонки называют гетероцельными. Угол поворота головы достигает обычно 180º.

2) Своеобразно строение грудины у птиц. Она представляет широкую, слегка выгнутую наружу костную пластинку, к краям которой причленяются грудные ребра. У огромного большинства современных птиц грудина несет костный киль. К килю симметрично слева и справа прикреплены мышцы, приводящие в движение крылья.

3) Обращает внимание относительно громадный объем мозговой коробки и огромные глазничные впадины, что связано с развитием головного мозга (главным образом его полушарий) и очень крупными глазными яблоками. Глаза у птиц являются важнейшим органом чувств. Челюсти, как правило, сильно вытянуты, и кости их срастаются между собой. Возникает весьма совершенный, прочный хватательный аппарат. Кости мозговой коробки тонкие и срастаются очень рано. В итоге коробка легка и прочна. Добавим к этому, что ряд костей черепа пневматичен.

4) Передние конечности и их пояс в связи с при к полету имеют ряд особенностей. Пояс состоит из лопатки, коракоида и ключицы, которые своими проксимальными концами формируют площадку для причленения плечевой кости. Лопатка длинная, саблевидно изогнутая, лежит на ребрах, по которым она может свободно скользить. Коракоид, развитый очень сильно, одним концом упирается в грудину, другой конец дает опору для причленения плеча. Левая и правая ключицы срастаются между собой, образуя характерную для птиц вилку, придающую поясу особую упругость.

5) Скелет самого крыла состоит из всех типичных для пятипалой конечности отделов. При этом плечо и предплечье существенно не изменены, а кисть, наоборот, имеет ряд своеобразных особенностей. Запястье сильно редуцировано. Его проксимальные части срастаются в две косточки, а дистальные - с пястью. Пясть состоит из двух удлиненных костей, сращенных как в проксимальном, так и в дистальном отделе и образующих в итоге сложную пястно-запястную кость. Из пальцев сохраняются только три - второй, третий и четвертый, при этом только третий палец имеет две фаланги, а второй и четвертый по одной.

4,5(10 оценок)
Ответ:
Объем прямой призмы равен V=S*H, где S - площадь основания, а Н  - высота призмы.
Sпр=2Sосн+S1+S2+S3, Sосн - площадь основания, S1, S2, S3 - площади боковых граней.
В прямой призме боковые ребра равны высоте, поскольку перпендикулярны к основанию.Все боковые грани - прямоугольники.
Находим Sосн=аh/2.
Если призма правильная, то в основании лежит равносторонний треугольник и все просто
S1=a*H=S2=S3
Тогда V=ahH/2
S=ah+3aH=a(h+3H)
Если призма неправильная, то нужны еще  значения.
Если треугольник в основании равнобедренный, другие стороны вычислим по теореме Пифагора.
4,7(69 оценок)
Это интересно:
Новые ответы от MOGZ: Математика
logo
Вход Регистрация
Что ты хочешь узнать?
Спроси Mozg
Открыть лучший ответ