М
Молодежь
К
Компьютеры-и-электроника
Д
Дом-и-сад
С
Стиль-и-уход-за-собой
П
Праздники-и-традиции
Т
Транспорт
П
Путешествия
С
Семейная-жизнь
Ф
Философия-и-религия
Б
Без категории
М
Мир-работы
Х
Хобби-и-рукоделие
И
Искусство-и-развлечения
В
Взаимоотношения
З
Здоровье
К
Кулинария-и-гостеприимство
Ф
Финансы-и-бизнес
П
Питомцы-и-животные
О
Образование
О
Образование-и-коммуникации
gargallik
gargallik
09.12.2021 02:12 •  Математика

Ребяяят один во буду очень благодарен

👇
Ответ:
anmag
anmag
09.12.2021

60°

Пошаговое объяснение:

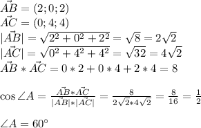
\vec{AB}=(2;0;2) \\ \vec{AC}=(0;4;4) \\ |\vec{AB}|=\sqrt{2^2+0^2+2^2}=\sqrt{8}=2\sqrt{2} \\ |\vec{AC}|=\sqrt{0^2+4^2+4^2}=\sqrt{32}=4\sqrt{2}\\ \vec{AB}*\vec{AC}=0*2+0*4+2*4=8 \\ \\ \cos \angle A=\frac{\vec{AB}*\vec{AC}}{|\vec{AB}|*|\vec{AC}|} =\frac{8}{2\sqrt{2}*4\sqrt{2}} =\frac{8}{16} =\frac{1}{2} \\ \\\angle A=60^\circ


Ребяяят один во буду очень благодарен
4,7(24 оценок)
Открыть все ответы
Ответ:
Daniil2879
Daniil2879
09.12.2021

Екінші дүкенге әкелінген көкөністердің саны бірінші қатынаста 3 бөлікті, ал екінші қатынаста 5 бөлікті құрайды. Екінші дүкенге әкелінген көкөністердің санын бірдей бөліктермен көрсету керек. Осыған байланысты:

ЕКОЕ-ны табамыз. (3; 5) = 15

бірінші қатынастың шарттары 5-ке, ал екіншісі 3-ке көбейтіледі

2: 3 = 10: 15

5: 7 = 15: 21

Аламыз: бірінші, екінші және үшінші дүкендерге жеткізілген көкөністер саны 10: 15: 21-ге байланысты.

Бірінші дүкенге аз жеткізілді

21-10 = 11 (бөліктер), бұл 770 кг-ға сәйкес келеді

770: 11 = 70 (кг) - бір дана

10 + 15 + 21 = 46 (бөліктер) -барлық көкөністер

70 * 46 = 3220 (кг) - үш дүкенге әкелінді.

4,4(1 оценок)
Ответ:
Brainly223331156
Brainly223331156
09.12.2021
Если в задаче нет опечатки, и х, у, z - это действительно цифры в некоторой системе счисления, то основание этой системы счисления должно быть
во-первых нечетным (т.к. иначе х, у, z - нечетные и в сумме не дадут четное число 30),
а во-вторых это основание должно быть больше 15. Пробуем основание 17:
30 в 17-ичной системе это 3*17=51
15 в 17-ичной системе это 17+5=22
13 в 17-ичной системе это 17+3=20
9 в 17-ичной системе это 9.
Т.к. в 10-ичной системе 22+20+9=51, то в 17-ичной системе получаем равенство: 15+13+9=30.
4,5(3 оценок)
Новые ответы от MOGZ: Математика
logo
Вход Регистрация
Что ты хочешь узнать?
Спроси Mozg
Открыть лучший ответ