М
Молодежь
К
Компьютеры-и-электроника
Д
Дом-и-сад
С
Стиль-и-уход-за-собой
П
Праздники-и-традиции
Т
Транспорт
П
Путешествия
С
Семейная-жизнь
Ф
Философия-и-религия
Б
Без категории
М
Мир-работы
Х
Хобби-и-рукоделие
И
Искусство-и-развлечения
В
Взаимоотношения
З
Здоровье
К
Кулинария-и-гостеприимство
Ф
Финансы-и-бизнес
П
Питомцы-и-животные
О
Образование
О
Образование-и-коммуникации
Mara1111176
Mara1111176
11.01.2023 18:21 •  Математика

(х/12 - 1/12) + 7/12 =11/12
с решением

👇
Ответ:
krasatulea83
krasatulea83
11.01.2023

ответ: 5

Пошаговое объяснение:

Раскроем скобки и перенес все числа без "Х" вправо:

Х/12 = 11/12 + 1/12 - 7/12

Х/12= 5/12

Домножим обе части уравнения на "12":

Х = 5

4,8(65 оценок)
Ответ:
Kotyaty
Kotyaty
11.01.2023

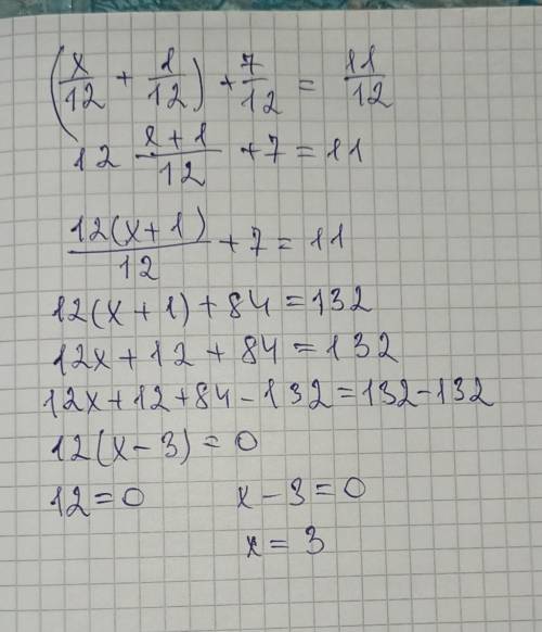
12(x-3)=0

12=0. x-3=0

x=3


(х/12 - 1/12) + 7/12 =11/12 с решением
4,5(36 оценок)
Открыть все ответы
Ответ:
mainaalikuliev
mainaalikuliev
11.01.2023
1. а объяснение: 1) (19+20) - 25= 14 2) (14+ 22) -25 = 11 3) (11 + 23) - 25 = 9 - ответ 2. в объяснение: расстояние на циферблате между часами делится на 5 делений, за 20 минут, часовая стрелка отодвигается на 1 деление, получается 4 часа 21 минута. 2 минутных деления= 2 минуты. 21+2=23. ответ: 16 ч 23 мин. 3. б оъяснение: возьмём например, ящик 53. билет можно опустить, если зачеркнуть: -первую цифру в таких числах: 053, 153, 253, 353, 453, 553, 653, 753, 853, 953 (всего 10 чисел) - второю цифру в таких числах: 503, 513, 523, 533,543, 563( т. к. 553 уже было) , 573, 583, 593 (всего 9 чисел)  - третью цифру в таких числах: 530, 531. 532, 534( т. к. 533 уже было) , 535, 536, 537, 538, 539 ( всего 9 чисел) итого: 10+9+9=28
4,4(39 оценок)
Ответ:
Anutka87igorevna
Anutka87igorevna
11.01.2023

Пусть Р(А) - вероятность попасть в сборную

Тогда

P(B₁) = 4 / 15 - вероятность, что отберут первокурсника

P(B₂) = 2 / 5 - вероятность, что отберут второкурсника

P(B₃) = 1 / 3 - вероятность, что отберут третьекурсника

По условию задачи

P(A | B₁) = 0.9, P(A | B₂) = 0.8, P(A | B₃) = 0.7

По формуле полной вероятности

P(A) =

P(B₁) * P(A | B₁) + P(B₂) * P(A | B₂) + P(B₃) * P(A | B₃) =

0.9 * 4 / 15 + 0.8 * 2 / 5 + 0.7 * 1 / 3 =

0.24 + 0.32 + 0.23 = 0.7933

Вероятность того, что это будет второкурсник рассчитывается по формуле Байеса:

P(B₂ | A) = P(B₂) * P(A | B₂) / P(A) = 0.4 * 0.8 / 0.7933 = 0.4034

4,6(47 оценок)
Новые ответы от MOGZ: Математика
logo
Вход Регистрация
Что ты хочешь узнать?
Спроси Mozg
Открыть лучший ответ