М
Молодежь
К
Компьютеры-и-электроника
Д
Дом-и-сад
С
Стиль-и-уход-за-собой
П
Праздники-и-традиции
Т
Транспорт
П
Путешествия
С
Семейная-жизнь
Ф
Философия-и-религия
Б
Без категории
М
Мир-работы
Х
Хобби-и-рукоделие
И
Искусство-и-развлечения
В
Взаимоотношения
З
Здоровье
К
Кулинария-и-гостеприимство
Ф
Финансы-и-бизнес
П
Питомцы-и-животные
О
Образование
О
Образование-и-коммуникации
Natashakr10
Natashakr10
27.12.2021 17:33 •  Математика

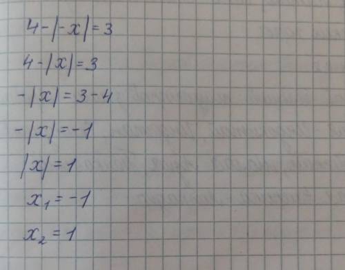
4-|-x|=3 ответ: ? впр 7 класс можно просто ответ если знаете4-|-x|=3 ответ: ?

👇
Ответ:
mashabest19861
mashabest19861
27.12.2021

Решение на фото.........


4-|-x|=3 ответ: ? впр 7 класс можно просто ответ если знаете4-|-x|=3 ответ: ?
4,6(38 оценок)
Открыть все ответы
Ответ:
obito4891
obito4891
27.12.2021
№1
1)48 * 7 = 336 (км один поезд до встречи
2)644 - 336 = 308 (км другой
3)308 \ 7 =44 (км\ч)--- скорость второго
ответ: 44км/ч скорость второго поезда.

№2

1)5+4=9 (км они за 1 час

2)9*5=45(км)--- расстояние между туристами через 5 часов

ответ: расстояние между туристами через 5 часов будет 45 км.

№3

1)480:8=60(км\ч)---скорость 1-ого поезда.
2)720:6=120(км\ч)---скорость 2-ого поезда.
3)120:60=2(раза)---во столько раз скорость пассажирского поезда меньше скорости скорого поезда.
ответ: в 2 раза.

№4

1) 45-25=20(км/ч)---скорость кенгурёнка
2)45*4=180(км)---путь,который пробежали
3)180/20=9(ч)---время, за которое кенгурёнок преодолеет весь путь

ответ: 9 часов.



4,4(75 оценок)
Ответ:
danyok132006
danyok132006
27.12.2021

    Дробью называется одна, или несколько, равных между собой, частей целого.

1. Дробь 7/8:

- знаменатель=8 - показывает, что целое разделено на 8 равных частей;

- числитель=7 - показывает, что из 8-и равных частей целого взяли 7 цастей.

2. Прямоугольник, со сторонами 2 х 4 см рвзделить на 8 равных частей и 7, из них, - закрасить.

    2 см - ширина прямоугольника; 4 см - длина прямоугольника, разделим прямоугольник на 8 равных частей: 4 см/8=1/2 см, значит, по обеим длинным сторонам прямоугольника, отметим точки через каждые 1/2 см (пол-сантиметра) и соединим эти точки отрезками. Всего получилось 7 отрезков, разделяющих прямоугольник на 8 равных частей.

     Теперь покрасим 7 из 8-и частей, причем, незакрашенной можно оставить любую часть (на рисунке - часть №4).

    Рисунок во вложении



Номер 1. прочитайте дробь 7/8,назовите числители и знаменатели и обясните,что они показывают .начерт
4,4(33 оценок)
Это интересно:
Новые ответы от MOGZ: Математика
logo
Вход Регистрация
Что ты хочешь узнать?
Спроси Mozg
Открыть лучший ответ