
Пошаговое объяснение:

Задача на РАБОТУ: А =p*t , как и расстояние и скорость.
р - производительность труда (скорость работы.
р1 = А/t1 = A/20 = 1/20*A (бас/час) - производительность первой трубы.
p2 = A/t2 = A/25 = 1/25*A - второй трубы.
При совместной работе производительности складываются (как при встречном движении).
Рс = (1/20 + 1/25)*А = 9/100*А - совместная производительность.
T = A/Pc = A : (9/100)*A = 100 : 9 = 11 1/9 час = 11 час 7 мин - время работы - ОТВЕТ
Эту задачу можно сравнить с другой - на расстояние.
Первый поезд проходит какое-то расстояние за 20 часов, а второй за 25 час. Когда встретятся при встречном движении?
Число делится на 9, если сумма всех его цифр делится на 9.
1) 1 275: 1 + 2 + 7 + 5 = 15 - ближайшее число, которое делится на 9, это 18. Значит, нужно добавить 3 ⇒ 1275 + 3 = 1278;
2) 25 718: 2 + 5 + 7 + 1 + 8 = 23 - прибавим 4 ⇒ 25718 + 4 = 25722;
3) 10 203 040: 1 + 0 + 2 + 0 + 3 + 0 + 4 + 0 = 10 - прибавим 8 ⇒ 10203040 + 8 = 10203048;
4) 3 333: 3 + 3 + 3 + 3 = 12 - ближайшее число 18, значит, прибавим 6 ⇒ 3333 + 6 = 3339;
5) 987 652: 9 + 8 + 7 + 6 + 5 + 2 = 37 - прибавим 8 ⇒ 987652 + 8 = 987660;
6) 19 191 919 191: 1+ 9 + 1 + 9 + 1 + 9 + 1 + 9 + 1 + 9 + 1 = 51 - прибавим 3 ⇒ 19 191 919 191 + 3 = 19 191 919 194
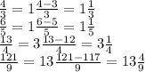
Пошаговое объяснение: 4/3= 1 целая 1/3; 6/5= 1 целая 1/5; 13/4= 3 целых 1/4; 121/9= 13 целых 4/9. Вроде так