М
Молодежь
К
Компьютеры-и-электроника
Д
Дом-и-сад
С
Стиль-и-уход-за-собой
П
Праздники-и-традиции
Т
Транспорт
П
Путешествия
С
Семейная-жизнь
Ф
Философия-и-религия
Б
Без категории
М
Мир-работы
Х
Хобби-и-рукоделие
И
Искусство-и-развлечения
В
Взаимоотношения
З
Здоровье
К
Кулинария-и-гостеприимство
Ф
Финансы-и-бизнес
П
Питомцы-и-животные
О
Образование
О
Образование-и-коммуникации
goooll
goooll
05.10.2020 17:41 •  Математика

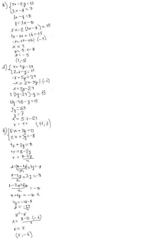
Решение системы методом сложения а){5 x-2y=15{2x-y=7 б) {x+4y=39{2x-y=15
в){6x+5y=0{2x+3y=-8

👇
Ответ:
морж14
морж14
05.10.2020

Пошаговое объяснение:


Решение системы методом сложения а){5 x-2y=15{2x-y=7 б) {x+4y=39{2x-y=15 в){6x+5y=0{2x+3y=-8
4,6(29 оценок)
Открыть все ответы
Ответ:
Csgopro1
Csgopro1
05.10.2020
Симметрия относительно оси ординат (ось OY) обозначает изменение знака координаты по X на противоположный, следовательно координаты симметричного прямоугольника будут равны:A1(1;-1); B1(1;4); C1(-7;4); D1(-7;-1);
Высота прямоугольника равна расстоянию между точками A1 и B1.Поскольку абсцисса точек одинакова, то расстояние равно модулю разности ординат: |A1 B1| = |4 - (-1)| = 5
Ширина прямоугольника равна расстоянию между точками A1 и D1.Поскольку ордината точек одинакова, то расстояние равно модулю разности абсцисс: |A1 D1| = |1 - (-7)| = 8
Площадь прямоугольника равна произведению длин высоты на ширину, т.е. S = 5 * 8 = 40
ответ:40
4,7(22 оценок)
Ответ:
mrdaaly
mrdaaly
05.10.2020
По формуле корней
1)3x²-10x=7-6x
   3х²-4х-7=0
D=16+84=100
x=(4-10)/6=-1  или  х=(4+10)/6=7/3

4)400x²+40x-100=0
   20x²+2x-5=0
D=4+4·20·5=4·(1+100)
x=(-2-2√101)/40 ;  x=(-2+2√101)/40

5)x²+1,3x-0,4=0
  10x²+13x-4=0
D=169+4·10·4=169+160=329
x=(-13-√329)/20; x=(-13+√329)/20
6)0,05x²-x-0,06=0
x²-100x-6=0
D=10000+24=10024
x=(100-√10024)/2; x=(100+√10024)/2

7)4y²-0,2y+3,2=0
20y²-y+16=0
D=1-4·20·16 <0
уравнение не имеет корней

Разложение на множители:
2)21=(x-2)²+5
   (x-2)²-16=0
(x-2-4)·(x-2+4)=0
(x-6)·(x+2)=0
x-6=0  или  х+2=0
х=6  или  х=-2
3)10x²+3x=0
х(10х+3)=0
х=0  или  10х+3=0
х=-0,3
8)3600x²-4900=0
(60х-70)·(60х+70)=0
60х-70=0  или 60х+70=0
х=7/6    или  х=-7/6

9)0,25x²-0,16=0
(0,5х-0,4)·(0,5х+0,4)=0
х=0,8  или х=-0,8
4,5(27 оценок)
Это интересно:
Новые ответы от MOGZ: Математика
logo
Вход Регистрация
Что ты хочешь узнать?
Спроси Mozg
Открыть лучший ответ