М
Молодежь
К
Компьютеры-и-электроника
Д
Дом-и-сад
С
Стиль-и-уход-за-собой
П
Праздники-и-традиции
Т
Транспорт
П
Путешествия
С
Семейная-жизнь
Ф
Философия-и-религия
Б
Без категории
М
Мир-работы
Х
Хобби-и-рукоделие
И
Искусство-и-развлечения
В
Взаимоотношения
З
Здоровье
К
Кулинария-и-гостеприимство
Ф
Финансы-и-бизнес
П
Питомцы-и-животные
О
Образование
О
Образование-и-коммуникации
Dryunya1989
Dryunya1989
26.08.2022 02:07 •  Математика

Решите уравнение 1/5x+7=21−1/20x

👇
Ответ:
werdam
werdam
26.08.2022

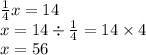
\frac{1}{5} x + 7 - 21 + \frac{1}{20} x = 0 \\ \frac{1}{5} + \frac{1}{20} = \frac{4}{20} + \frac{1}{20} = \frac{5}{20} = \frac{1}{4}

\frac{1}{4} x - 14 = 0 \\ \frac{1}{4} x =0 + 14

\frac{1}{4} x = 14 \\ x = 14 \div \frac{1}{4} = 14 \times 4 \\ x = 56

4,5(26 оценок)
Открыть все ответы
Ответ:
Chvrv
Chvrv
26.08.2022
Y'=-32*х(в кв.) +2
приравниваем её к нулю
получается х(в кв.)=16, значит х1=4, х2=-4

подробно: наносим на числовую ось эти точки и ищем знаки промежутков
берем какую-нибудь точку и подставляем в заданную нам ф-ю
получилось такие знаки - + - +
это значит, что ф-я сначала убывает, потом возрастает, убывает и снова возрастает
точка -4 - это точка минимума, так как ф-я меняет знак с - на +
а вот точка +4 - точка максимума. ф-я меняет знак с + на -ший!Ищем производную, приравниваем её к нулю.
Получилось два корня +4 и -4
точка максимума 4
4,5(33 оценок)
Ответ:
БеллаСAT
БеллаСAT
26.08.2022
 Бесспорно, один из наиболее плохих человеческих качеств - это зависть, т.е. ревностное отношение к достояниям и достижениям других людей. Именно из-за зависти в этом мире творится наибольшее количество преступлений, известны даже случаи, когда из-за зависть брат убивал брата. Почему это так? Попробуем выяснить. Чувство зависти возникает у человека, когда кто-то из его знакомых приобретает себе то, о чем он давно мечтал, когда кто-то оказывается успешнее, чем он сам. Человека сразу начинает что-то «грызть», принуждая делать необдуманные поступки. Тот, кто завидует, не может контролировать свои действия, так как все время думает о преимуществах и достижениях других, забывая о собственных. О зависти писали еще в Библии. Вспомним историю Каина и Авеля, в которой рассказывается о том, как из-за зависти Каин убил своего брата, за что был навеки проклятый. Или в драме «Моцарт и Сольери» А. С. Пушкина, которая была основана на реальных событиях. В этом произведении также показан сокрушительное влияние зависти на личность. Люди выделяют такое понятие, как «белая зависть», т.е. добрая, незловредная. По моему мнению, зависть не может быть такой, поскольку, если уже ты ощущаешь какое-то волнение из-за достижений других, то ты завидуешь, а это не может быть добрым. Таким образом, мы видим, что зависть действительно разрушает нашу жизнь, поэтому надо радоваться достижениям других и не забывать о собственных.
4,5(61 оценок)
Это интересно:
Новые ответы от MOGZ: Математика
logo
Вход Регистрация
Что ты хочешь узнать?
Спроси Mozg
Открыть лучший ответ